Intelligence humaine

L'intelligence humaine est caractérisée par plusieurs aptitudes, surtout cognitives, qui permettent à l'individu humain d'apprendre, de former des concepts, de comprendre, d'appliquer la logique et la raison. Elle comprend la capacité à reconnaître des tendances, comprendre les idées, planifier, résoudre des problèmes, prendre des décisions, conserver des informations, et utiliser la langue pour communiquer.
En psychologie scientifique, l'intelligence a été très étudiée par la psychométrie qui a donné naissance aux mesures de quotient intellectuel (QI). Depuis le début du XXe siècle, des milliers d'études ont été menées dans le monde, donnant lieu à des méta-analyses de grande ampleur. Ces méta-analyses ont donné naissance au modèle de l'intelligence fluide et cristallisée de Raymond Cattell et John L. Horn dans les années 1960, suivi du modèle à trois strates de John Carroll (1993). La combinaison des deux donne le modèle de Cattell-Horn-Carroll (CHC), où une faculté générale d'intelligence (facteur g) est prédite par plusieurs fonctions cognitives générales, elles-mêmes mesurées par des fonctions cognitives spécifiques. Les théories sur l'intelligence et les tests d'intelligence ont des applications très nombreuses en psychopathologie (déficience intellectuelle), éducation (comprendre l'échec scolaire), et orientation scolaire ou professionnelle.
Bien que très étudiée scientifiquement, il n'existe pas de définition claire de l'intelligence et de nombreuses questions restent posées. Ainsi, des théoriciens défendent qu'il pourrait exister plusieurs types d'intelligences relativement indépendantes (l'intelligence pratique, par exemple), mais ces idées ne font pas consensus chez les scientifiques. De plus, bien que minoritaires, certains courants de recherche remettent en cause les interprétations du facteur g comme indice d'une intelligence générale.
Les avancées technologiques de l'imagerie cérébrale, des neurosciences cognitives et de la génétique ont renouvelé l'intérêt sur les questions des relations entre intelligence et biologie humaine. Elles ouvrent de nouveaux domaines scientifiques qui cherchent à relier les données de la biologie du développement cérébral et les modèles psychologiques et psychométriques.
Plusieurs grandes controverses génèrent de nombreuses études scientifiques : les interactions entre la génétique et l'environnement et leur impact sur le développement de l'intelligence ; les différences entre les groupes et entre les générations (effet Flynn) ou encore les relations entre santé physique et santé cognitive (ou épidémiologie cognitive).
Évolution


Le cerveau humain est le support de l'intelligence humaine. L'intelligence humaine, c'est-à-dire les systèmes motivationnels, affectifs, comportementaux et cognitifs humains, est le produit de la sélection naturelle. Le cerveau a évolué sous la pression sélective pour traiter des informations sociales et de l'environnement qui permettaient d'augmenter les chances de survie ou de se reproduire[1].
Un des grands avantages sélectifs de l'humain a été le développement de son cerveau, du langage et des autres fonctions cognitives complexes qui ont accompagné l'évolution du cerveau. Les anthropologues s'accordent sur le fait que les espèces Homo tardives ont développé un plus grand cerveau et des habiletés cognitives plus sophistiquées que les premières espèces Homo. Il est plus difficile de comparer entre elles les espèces Homo tardives. Ainsi, les origines et l'évolution de l'intelligence humaine chez les espèces Homo tardives restent l'objet de débats et spéculations chez les chercheurs spécialistes de l'évolution humaine[2].
Les anthropologues définissent l'« humain » comme appartenant à l'espèce Homo sapiens. L'intelligence humaine serait propre aux Homo Sapiens. Cependant, si les humains contemporains font partie de cette espèce, il est plus difficile de déterminer si les autres espèces Homo tardives font également partie de l'espèce Homo Sapiens. Tous les anthropologues ne s'accordent pas sur la question. Pour certains, la particularité des humains est d'avoir un cerveau large, une intelligence et une capacité de raisonnement proprement humaines, et toutes les espèces tardives à cerveau large feraient partie de cette définition. Sur la base de cette approche, les groupes de Néandertals font partie de l'espèce Homo Sapiens : ce sont les Homo sapiens neanderthalis. Selon une autre école de pensée, les Néandertals font partie d'une autre lignée et ne sont pas des ancêtres directs des humains contemporains. Ils forment donc une espèce séparée, les Homo neanderthalensis, quelle que soit leur intelligence[3].
Les recherches et les hypothèses sur la question reposent sur trois types de preuves indirectes. D'une part, la taille du cerveau et son développement chez l'enfant, extrapolés sur la base des mesures faites sur les crânes fossilisés. Il n'y a pas de consensus sur le fait que le développement du cerveau des Homo Sapiens aurait pris plus de temps à maturer que celui des Néandertals. D'autre part, la configuration du cerveau, également extrapolée sur la base des crânes fossilisés, indique que les Homo Sapiens ont développé un cortex frontal et des lobes temporaux et pariétaux plus importants que les autres espèces Homo. Or les aires temporales traitent et organisent les stimuli, la mémoire, le langage. Les aires frontales sont le siège de fonctions cognitives également complexes comme le raisonnement abstrait, le langage, la planification des comportements, et l'interprétation des interactions sociales. Il est donc possible de spéculer que ces fonctions cognitives complexes ont joué un rôle important dans l'évolution des Homo Sapiens et les différenciaient d'autres espèces. Enfin la troisième preuve indirecte de la spécificité de l'intelligence humaine des Homo Sapiens peut être inférée des fossiles liés à leur activité : le développement de leur outillage et leur créativité technologique. Les Homo Sapiens du Néolithique Supérieur semblent être uniques dans leur capacité à avoir inventé des technologies nouvelles et des styles culturels complexes. Il n'est pas certain que les H. neanderthalis aient fait preuve de la même créativité, bien qu'ils aient eu également des outils complexes[2].
La présence d'un langage chez les autres espèces Homo est également un objet de débats puisque le langage ne laisse pratiquement pas de traces archéologiques, sauf les aires de la parole marquant une zone spécifique du crâne[4].
Histoire de l'intelligence mesurée par la psychométrie et la psychologie scientifique
Malgré un manque de consensus sur la manière de définir l'intelligence, elle devient un objet d'étude scientifique au début du XXe siècle, lorsque des tests sont inventés pour tenter de rendre cette notion objective par des observations empiriques. L'exploration scientifique d'une notion mal définie n'est pas nouvelle. Elle permet d'affiner la compréhension d'un terme vague, tout comme l'invention du thermomètre a permis de préciser la nature de la notion jusque-là subjective de température, une analogie que les psychologues reprendront souvent[5].
Précurseurs et tests du XIXe siècle
Des tests mesurant les habiletés cognitives et perceptuelles sont développés à la fin du XIXe siècle, tests qui ne sont pas standardisés. Le scientifique britannique Francis Galton met au point des mesures dites anthropométriques vers 1885[6]. À la même époque, le psychologue Wilhelm Wundt (université de Leipzig, Allemagne) monte un laboratoire de psychologie expérimentale qui va former les psychologues et fondateurs de la psychométrie James McKeen Cattell et Charles Spearman, qui eux-mêmes auront pour élèves Edward Thorndike et Robert Woodworth[7]. Ces quatre hommes jouent un grand rôle dans la naissance de la psychométrie, et sont tous des enseignants de David Wechsler dont l’œuvre très importante dans la mise au point de tests d'intelligence est détaillée ci-dessous[7].
Le psychologue américain James McKeen Cattell adapte les tests de Galton et les nomme « tests mentaux » (mental tests)[6]. Ces tests sont des précurseurs des futurs tests d'intelligence puisque les échelles d'intelligence utilisent de nombreux sous-tests. Certains de ces tests de la fin du XIXe siècle sont réutilisés dans les tests ultérieurs avec des adaptations. Ainsi, le médecin français Édouard Séguin utilise des formes encastrables pour entraîner des enfants déficients sur le plan cognitif dans les années 1880. L'un des dessins de son test est repris et adapté par le psychologue américain Henry H. Goddard, intégré au test de Pintern et Patterson en 1917, et repris en 1939 par David Wechsler comme un des tests de performance de sa première échelle d'intelligence[6].
Échelle métrique de l'intelligence de Binet et Simon

L'échelle métrique de l'intelligence, appelée aussi couramment test de Binet et Simon, est le premier test qui tente de mesurer véritablement l'intelligence[8].
Alfred Binet (1857-1911) est un des pionniers de la psychologie du développement de l'enfant. Il fonde l'un des premiers journaux scientifiques sur le sujet, L'Année psychologique, en 1894. Il joue un rôle capital dans la mise au point de diagnostics de déficiences mentales permettant l'orientation d'enfants ayant des difficultés d'apprentissage vers des écoles spécialisées. Binet s'indigne du fait que le diagnostic d'un enfant peut différer en fonction du médecin qui l'a observé. Il est urgent et important sur un plan pratique, de mettre au point un instrument de mesure de l'intelligence qui soit objectif[9]. Dans ce contexte, Binet avec la collaboration du psychiatre Théodore Simon, met au point en 1905 une « Échelle métrique de l'intelligence », couramment appelée « test de Binet-Simon ». L'échelle comporte 30 tests cognitifs brefs arrangés par ordre de difficulté. Ces tests cognitifs s'inspirent de tests existants (par exemple la mémorisation des séries de chiffres) et de tests inventés par Binet et ses collaborateurs[6].
La première utilité pratique du test est de permettre d'orienter scolairement les enfants ayant des déficiences intellectuelles en mesurant leur potentiel intellectuel et éducatif.
En 1908, Binet et Simon révisent le test en groupant les tests en niveaux d'âge. Cette procédure appelée ensuite « échelle d'âge » assigne au participant un âge qui correspond à celui auquel la plupart des enfants réussissent le test. Par exemple, le sous-test des chiffres à mémoriser commence à un niveau correspondant à l'âge du sujet, puis des items plus faciles ou plus difficiles sont présentés en fonction de l'échec ou de la réussite du sujet. Le « niveau intellectuel » (ensuite appelé l'âge mental) est le niveau d'âge le plus élevé auquel l'enfant réussit le plus de tests[6].
Le psychologue allemand William Stern a mis au point la formule qui permet de calculer le quotient intellectuel ou QI qui définit l'intelligence par rapport à l'âge mental défini par l'échelle d'intelligence[10].
Succès et adaptations du test de Binet-Simon au début du XXe siècle
L'idée de pouvoir tester l'intelligence se répand rapidement et, dix ans après la publication de l'échelle, cette idée est bien établie dans plusieurs pays, même si, paradoxalement, le test reçoit un accueil moins favorable en France[11]. Henry H. Goddard, directeur de recherche dans un centre du New Jersey pour enfants déficients cognitifs, apprend l'existence de cette échelle lors d'un voyage en Europe. Il décide de la faire traduire pour pouvoir l'utiliser. Il contribue grandement à sa popularisation et à son utilisation dans de nombreuses institutions des États-Unis[6].
Deux grandes révisions du test de Binet-Simon sont réalisées aux États-Unis. Robert Yerkes et James Bridges restructurent l'échelle, de telle sorte que l'échelle en années devient une échelle sous forme de points : plutôt que de commencer le test en fonction de l'âge des sujets, un moniteur commencera par les items les plus simples et continuera avec les items de plus en plus complexes[6]. Cette procédure est reprise plus tard par Wechsler et reste utilisée dans les tests d'intelligence cent ans après[6].
En 1916, la seconde révision américaine importante du test de Binet-Simon est l’œuvre de Lewis Terman. Il étend l'utilisation de l'échelle à l'âge adulte et remplace la notion d'âge mental par la notion de quotient intellectuel (QI)[6]. Il ajoute deux tests, celui de la compréhension de problèmes arithmétiques (de Bonser, 1910) et de formes encastrées (de Healy et Fernald, 1911)[6]. Cette batterie de tests de Terman, qu'il nomme l'échelle d'intelligence Stanford-Binet, devient la mesure de l'intelligence la plus utilisée aux États-Unis[9],[6].
Au Royaume-Uni, Cyril Burt met au point une batterie de tests de raisonnement inspirée de l'échelle Binet-Simon[9].
L'échelle de Binet-Simon sert de base aux tests ultérieurs, dans son contenu et dans sa forme. La procédure de base qui combine différents tests mentaux mène à un score composite qui est la base des tests d'intelligence ultérieurs. Binet insiste sur l'importance d'employer des tests nombreux et variés pour obtenir une performance moyenne : chaque test individuellement a peu de valeur, c'est leur ensemble qui permet d'extraire une information importante[6].
Tests d'intelligence non verbaux, dits de performance


Le psychiatre William Healy (directeur de l'institut de psychopathologie juvénile de Chicago) et la psychologue Grace Fernald (du même institut de recherche) publient une monographie en 1911 qui reprend un des reproches souvent entendus à propos du test de Binet-Simon : le test est trop verbal. Ils proposent un ensemble de tests non verbaux, une méthode qui prend le nom de test de « performance »[6]. L'idée est reprise par les médecins du port d'Ellis Island, à New York, qui doivent tester les immigrants arrivant aux États-Unis, dont beaucoup ne parlent pas l'anglais et ont peu d'éducation. Il est probable que ce soit l'un d'eux, le médecin Howard Andrew Knox, qui ait utilisé pour la première fois l'expression « test de performance » pour décrire les tests n'exigeant aucune habileté verbale ni instruction[6]. Deux des tests d'Ellis Island sont repris par les échelles postérieures : le test d'imitation des cubes de Knox (dans lequel des combinaisons de déplacements de cubes doivent être reproduites) et la figure de profil à compléter pour former une figure humaine (Kempf test)[6]. Aucun de ces tests n'était standardisé, et la collection de données entreprise sur les immigrants est interrompue par la chute de l'immigration lors de l'entrée dans la Première Guerre mondiale[6].
Or lors de la Première Guerre mondiale, le recrutement dans l'armée accélère la diffusion des tests d'intelligence. Deux tests sont utilisés aux États-Unis : le Test Alpha de l'armée, pour les appelés du contingent qui parlent l'anglais, et le test Bêta de l'armée pour les appelés sans éducation ou sans maîtrise de la langue anglaise (tests non verbaux). Le comité chargé de mettre au point et administrer ces tests est dirigé par Robert Yerkes, président de l'Association américaine de psychologie (APA), et six collaborateurs. Pour permettre des passations collectives, Arthur Otis met au point le système du choix multiple pour choisir la réponse. De 1917 à 1919, l'armée examine 1 726 966 appelés. Ces données de l'armée, les sous-tests et les items utilisés dans les tests Alpha et Bêta, sont en grande partie repris par Wechsler par la suite pour mettre au point l'échelle Wechsler-Bellevue[6].
Dans les années 1920 et 1930, la pratique des tests d'intelligence s'accroît énormément aux États-Unis. Les tests s'étendent à l'industrie et aux écoles, grâce au développement de nombreux tests permettant une passation collective[6]. De nombreux tests de performance sont développés en raison des doutes quant aux résultats obtenus avec le test Binet-Simon. Le test de performance des cubes de Kohs (Block Design) mis au point par Samuel Kohs sous la direction de Terman à l'université Stanford, rencontre un grand succès.
En 1933-1934, une étude des pratiques des tests menées par l'APA indique que, tandis que le test le plus employé par les psychologues reste le Stanford-Binet, cinq tests sur les neuf les plus employés sont des tests de performance : ce résultat suggère qu'en pratique, les psychologues complémentent l'échelle du Stanford-Binet par des tests de performance, car ils craignent que l'échelle de Stanford-Binet soit insuffisante ou inadéquate en tant que mesure générale de l'intelligence[6].
Première échelle d'intelligence de David Wechsler (1939)
Publiée aux États-Unis en 1939, la Wechsler-Bellevue Intelligence Scale, ou échelle d'intelligence de Wechsler-Bellevue, est la première échelle d'intelligence mise au point par David Wechsler. Wechsler travaille quasiment seul sur cette grande entreprise, durant sept ans. La standardisation initiale inclut des participants des deux sexes, âgés de 7 à 59 ans, d'un seul groupe ethnique (blancs), parlant et lisant bien l'anglais, et habitant à New York et alentours ; leur statut socio-professionnel correspond aux proportions trouvées dans le recensement national des États-Unis[6].
Wechsler reprend nombre de sous-tests et d'items de tests antérieurs, ce qui est d'usage à l'époque[6]. Wechsler est alors chef psychologue à l'hôpital psychiatrique de Bellevue (New York) et est conscient des failles de l'échelle de Standford-Binet (trop verbale, peu adaptée aux adultes, procédures complexes et non standardisées). Il apprécie le test Alpha de l'armée pour ses sous-scores qui permettent de découvrir si le sujet a des habiletés ou difficultés spécifiques[6]. De fait, test des cubes de Kohs excepté, les sous-tests de l'échelle Weschler-Bellevue sont empruntés au test Alpha, une échelle qui lui est très familière et très utilisée aux États-Unis[6].

Cependant, la structure de l'échelle introduit plusieurs innovations majeures dans le domaine du test de l'intelligence. Ces innovations influencent les échelles d'intelligence ultérieures mises au point par David Wechsler[6]. D'une part, il souhaite une mesure pour adultes, ce qui rend caducs l'utilisation de la notion d'âge mental et le QI sous forme de rapport entre âge mental et âge réel. Son premier argument est donc statistique : il propose (l'idée vient de Louis Leon Thurstone et d'autres) de remplacer le quotient par un score de déviation. Pour cela, les scores des sous-tests sont convertis en un score standard obtenu avec la moyenne et l'écart-type de chaque groupe d'âge[6]. Sa seconde innovation est d'incorporer des tests verbaux et des tests de performance dans la même échelle : à l'époque, le Binet-Simon était vu comme le test qui mesurait l'intelligence générale et les tests de performance des habiletés spécifiques. Wechsler pense que les sous-tests de performance mesurent également l'intelligence générale, ce qui est nouveau[6]. De plus, il pense que les tests de performance permettent, mieux que les tests verbaux, de faire des observations sur la personnalité et le tempérament du sujet, et donc d'aller plus loin que les performances uniquement cognitives. Ces observations se rapprochent des mesures de personnalité qui seront ensuite appelées les fonctions exécutives[6].
Pour publier le matériel de sa nouvelle échelle et le manuel de l'examinateur, Wechsler signe un contrat avec la Psychological Corporation. Cette maison d'édition avait été fondée en 1921 par James McKeen Cattell et deux de ses anciens élèves, Robert Woodworth (qui avait été le superviseur de Wechsler) et Edward Thorndike qui faisait autorité dans les techniques de mesure des apprentissages.
Échelle d'intelligence pour adultes de Weschler (1955)

Après la mise au point de l'échelle de Wechsler-Bellevue, Weschler met au point une échelle d'intelligence destinée spécifiquement aux adultes. Elle s'inspire de la même approche que celle du Wechsler-Bellevue et du test WPA (publié en 1946) qu'il a mis au point pour l’armée.
L'échelle pour adultes, Wechsler Adult Intelligence Scale ou WAIS, est standardisée sur un échantillon beaucoup plus large de personnes de 16 à 64 ans. L'échantillon est plus représentatif de la population, avec l'inclusion de minorités. Le test est publié en 1955. Comme le précédent, il contient plusieurs sous-tests (10 ou 11), groupés en tests verbaux ou tests de performance[7]. Il utilise la notion de QI calculé par l'écart-type (et non le QI tel que défini par Stern en rapport avec l'âge mental).
Wechsler constate des différences en fonction des âges, avec une détérioration des scores avec l'âge qu'il interprète comme un déclin cognitif. Il corrige l'échelle pour éviter ce biais. Tous les groupes d'âge ont une moyenne à 100. Cependant, pour éviter le risque de ne pas détecter un déclin prononcé qui pourrait signaler un début de démence, il met au point un quotient de détérioration mentale[7].
Il constate également des différences entre les sexes, cependant ces différences sont trop faibles pour l'amener à décider de séparer les scores entre hommes et femmes en ce qui concerne le QI général. Il met cependant au point des index car certains sous-tests sont mieux réussis par les hommes et d'autres par les femmes[7].
Échelles d'intelligence pour enfants de Weschler (1949)
La Wechsler Intelligence Scale for Children (WISC, échelle d'intelligence pour enfants de Wechsler) est une révision de l'échelle antérieure qu'il a mise au point pour les enfants (la Wechsler-Bellevue form II) dont elle diffère peu. Le QI standard correspond à la position du sujet par rapport à une population du même âge dont la moyenne a été fixée à 100 points et les écarts-types à 15 points[12].
Cette échelle est traduite et adaptée dans de nombreux pays et devient le test de QI le plus fréquemment utilisé pour les enfants. Des révisions et mises à jour sont publiées (tout comme la WAIS). Malgré sa mort en 1981, les révisions des batteries de tests de Wechsler continuent à porter son nom[13],[14].
Pour les très jeunes enfants, la Wechsler Preschool and Primary Scale of Intelligence (WPPSI) est mise au point, avec la même structure que la WISC.
Mesures de l'intelligence
Propriétés psychométriques des tests d'intelligence : validité et fiabilité
Un test qui mesure l'intelligence doit démontrer plusieurs propriétés pour être reconnu comme fiable et utile[15].
La fiabilité ou fidélité (en anglais, reliability) du test réfère au fait que, si le test était répété, il produirait les mêmes résultats. Il est important en effet que le résultat au test d'intelligence d'un individu dépende le moins possible de facteurs variables comme son humeur, le jour de la semaine, ou encore l'expérimentateur qui le teste. La fiabilité est déterminée pendant la mise au point de l'échelle et testée sur de nombreux sujets. Seuls les items (question et réponses) et les tests qui ont une haute corrélation lors d'un test et re-test sont conservés[15]. La fiabilité des tests d'intelligence est élevée avec des taux de corrélation d'environ 0,85 à 0,90 en test et re-test[15] (cf. Coefficient alpha de Cronbach).
La validité d'un test réfère au fait que le test mesure bien ce qu'il est censé mesurer. Elle est plus délicate à établir. Ainsi, il est important qu'un test d'intelligence mesure l'intelligence et non, par exemple, la mémoire ou le vocabulaire. Pour déterminer si le test d'intelligence est valide, plusieurs types de validité sont mesurés. La validité de contenu est obtenue par une validité apparente : il est peu probable que des tests de vocabulaire renseignent sur les performances arithmétiques. Elle est également évaluée par analyse factorielle, une procédure statistique qui permet de mettre en évidence des groupements de corrélations, appelés facteurs, influençant les résultats[15].
La validité empirique du test d'intelligence réfère au fait qu'il n'est pas une mesure abstraite fondée sur une théorie mais doit avoir une ou des corrélations avec des variables concrètes. Ainsi, on s'attend à ce que des enfants ayant de plus haut scores soient également plus performants à l'école, bien que d'autres variables influencent beaucoup les résultats scolaires. Généralement, les corrélations entre les scores aux tests d'intelligence et les résultats scolaires sont aux alentours de 0,50, ce qui est jugé raisonnable[15].
Biais et limites des tests d'intelligence de Weschler
Les tests d'intelligence de Wechsler ont été critiqués pour plusieurs raisons, parfois théoriques (voir ci-dessous les autres conceptions de l'intelligence) mais surtout pratiques. D'une part, les tests souffrent de limites pratiques et de biais systématiques. Les enfants malades, les enfants lents et les enfants issus de groupes ethniques minoritaires dans la population, sont défavorisés par les tests de Wechsler qui privilégient la rapidité d'exécution et qui comportent de nombreuses références culturelles[16].
Des tentatives ont été faites de créer des tests moins dépendants des performances de vitesse et comportant moins de biais culturels. La batterie d'examens psychologiques de Kaufman (K-ABC), par exemple, a été mise au point pour permettre de tester des enfants aux capacités linguistiques limitées. Les interactions verbales y sont limitées tant dans les instructions que les réponses, et les éléments culturels sont restreints[17]. Les versions les plus récentes du test de Wechsler pour enfant, le WISC, tentent aussi de remédier à ces biais[18]. Ainsi, les tests de Wechsler et les autres batteries de tests d'intelligence sont remis à jour par leurs éditeurs. Elles font alors l'objet de nouveaux étalonnages pour répondre aux changements culturels ainsi qu'aux différences observées sur les nouvelles générations[18].
Utilisation des tests d'intelligence


L'approche pour la compréhension de l'intelligence qui rencontre le plus de succès auprès des psychologues et qui bénéficie du plus grand nombre de recherches publiées sur la plus longue période de temps, se fonde sur des tests psychométriques. C'est aussi, de loin, l'approche la plus utilisée en pratique.
Le quotient intellectuel (QI) est calculé à partir de tests qui comprennent le Stanford-Binet, les matrices progressives de Raven (Progressive Matrices), le Wechsler Adult Intelligence Scale et la batterie de tests pour enfants Kaufman Assessment Battery for Children (K-ABC). Nombre de tests psychométriques ne sont pas destinés à mesurer l'intelligence, mais sont étroitement liés à des aspects cognitifs proches comme les aptitudes scolaires et académiques. Aux États-Unis, de tels tests servent dans les écoles élémentaires, les lycées (SAT), les universités (Graduate Record Examination, GRE), les facultés de médecine, de droit ou les écoles de commerce (Graduate Management Admission Test, GMAT)[19]. Quelle que soit la méthode utilisée, presque toute épreuve oblige les sujets à raisonner et dispose d'un large éventail de questions et de difficultés graduelles. Les scores peuvent être interprétés globalement ou séparément ; ils sont ensuite convertis pour les faire correspondre aux scores normalement distribués dans la population générale, ce qui permet de positionner l'individu par rapport à l'ensemble de la population (on parle de QI mais aussi de percentiles).
Les tests d'intelligence sont largement utilisés dans l'éducation[20], le monde du travail et le milieu militaire en raison de leur efficacité dans la prédiction des performances et des comportements[19].
Les tests d'intelligence peuvent être utilisés par des psychologues dans le cadre de bilans psychologiques de l'enfant, complétant l'examen clinique de l'enfant et de sa famille. Ils sont de bons indicateurs de la réussite scolaire[16].
Dans les études expérimentales menées sur l'enfant, le QI peut être mesuré pour diverses raisons. Il peut être un critère d'inclusion dans l'étude. Il peut servir à apparier les groupes, pour permettre que les niveaux intellectuels soient similaires dans tous les groupes avant de commencer l'expérience. Le QI peut également être utilisé comme une mesure de covariance (variable indépendante) susceptible d'influencer les résultats de l'expérience. Le QI peut aussi être une variable dépendante (un résultat attendu et mesuré). C'est le cas lorsque les chercheurs veulent mesurer si une intervention de longue durée a eu un effet sur l'intelligence et certaines habiletés cognitives mesurées par le test d'intelligence utilisé (par exemple, explorer l'effet sur le QI d'une amélioration de l'alimentation de plusieurs mois ou plusieurs années, chez des enfants[21]).
Corrélations entre mesures d'intelligence et facteurs sociaux
Le QI (et le facteur g) sont modérément corrélés à un grand nombre de résultats sociaux : par exemple, les personnes ayant un faible QI sont plus susceptibles d'être divorcées, d'avoir un enfant hors union, d'être incarcérées, d'avoir besoin d'un soutien social à long terme ; les personnes à haut QI ont en moyenne un plus grand nombre d'années d'éducation, un métier au statut économique et social plus élevé et des revenus financiers plus élevés[22]. L'intelligence est significativement corrélée à la réussite de la formation et aux performances, et le QI général est le meilleur indicateur d'une bonne performance au travail[19],[23].
Que mesurent les tests d'intelligence, au-delà des habiletés cognitives et intellectuelles ?
Wechsler était un psychologue clinicien qui avait une longue expérience des complexités de l'entretien clinique et connaissait bien les limites des tests qu'il mettait au point. Vingt ans après la publication de la première échelle d'intelligence pour adultes de Wechsler, plus de 500 articles scientifiques sont publiés sur le sujet[7]. La plupart de ces articles traitent de la validité de l'échelle et de ses caractéristiques psychométriques. De nombreuses analyses factorielles sont conduites. En 1981, Wechsler résume ainsi ces découvertes : malgré des analyses très avancées, seuls quatre ou cinq facteurs sont généralement mis en évidence. Or, ils ne rendent compte que de 60 % à 70 % environ de la variance totale obtenue[7]. Wechsler en conclut que d'autres facteurs, non cognitifs, sont en jeu : la motivation, l'entrain (drive), la persévérance, la conscience forte de l'objectif à atteindre (goal awareness) jouent également un rôle important dans la réussite au test bien que ces facteurs ne puissent pas être extraits des analyses, ni être quantifiés[7]. Wechsler veut d'ailleurs mettre au point un test qui lui permettrait de détecter ce facteur invisible, et espère que la Wechsler Adult Intelligence Scale revised (WAIS-R), la première révision du test publiée environ 25 ans plus tard, apportera une réponse au moins partielle à cette question[7].
Théories de l'intelligence issues de la psychométrie
Plusieurs chercheurs ont mis au point des théories sur l'intelligence humaine. Ce champ d'étude est très développé en psychologie. Plusieurs modèles s’appuient sur les données existantes et recueillies grâce aux tests d'intelligence pour discuter de l'existence d'une intelligence générale et de la présence statistique d'un facteur g dans leurs analyses, et déterminer les liens entre les diverses habiletés et l'intelligence générale.
Des critiques qui ne contestent pas la stabilité des tests et le fait qu'ils prédisent certaines formes de réalisation, veulent mettre en avant qu'un concept de l'intelligence générale, obtenu seulement par les scores au test de QI, néglige les nombreux autres aspects importants de la capacité mentale[19].
Facteur général d'intelligence ou g

Beaucoup de types de tests de QI utilisent une grande variété de tâches. Certains tests sont constitués d'un seul type de tâche, d'autres s'appuient sur une large collection de tâches avec des contenus différents (visuo-spatiale[24], verbale, numérique) et sollicitent des processus cognitifs différents (par exemple, raisonnement, mémoire, rapidité de la prise de décision, comparaisons visuelles, imagerie spatiale, lecture et extraction de connaissances générales). Cependant, le point commun entre ces tests a été découvert par une approche statistique qui a marqué le début de la discipline de la psychométrie[25].
Études factorielles
En 1904, le psychologue Charles Spearman publie la première analyse factorielle des corrélations entre les différentes tâches du test d'intelligence. Il met en évidence, pour l'ensemble de ces tests, une tendance à une corrélation positive des tests entre eux, le positive manifold. Spearman découvre ainsi qu'un seul facteur commun explique les corrélations positives entre les tests : il le nomme g pour « facteur général d'intelligence ». Il interprète sa découverte comme étant au cœur de l'intelligence humaine, puisque g, à un degré plus ou moins grand, influence la réussite dans toutes les tâches cognitives. Spearman est généralement regardé comme le fondateur des efforts taxonomiques en psychométrie[26]. Son interprétation de g comme étant l'origine commune aux tests de performance est encore dominante en psychométrie[25].
Tests chargés en facteur g
Les tâches des tests de QI et les tests dans leur entier peuvent être classés en fonction de leur degré de charge (ou relation) avec le facteur g. Les tests les plus chargés par g sont les mieux corrélés à la plupart des autres tests et offrent ainsi une meilleure approximation du QI général.
Une étude portant sur les corrélations entre une grande collection de tests et de tâches[27] a trouvé que le test des matrices progressives de Raven a une corrélation particulièrement élevée avec la plupart des autres tests et des tâches. C'est un test de raisonnement inductif portant sur du matériel visuel abstrait. Il se compose d'une série de problèmes présentés par ordre de difficulté croissante. Chaque problème est une matrice 3x3 de dessins abstraits avec une cellule vide ; la matrice est construite selon une règle, et la personne doit trouver la règle pour déterminer laquelle des huit alternatives s'inscrit dans la cellule vide. En raison de sa forte corrélation avec d'autres tests, le test de Raven est généralement considéré comme un bon indicateur de l'intelligence générale ou facteur g[27].
Controverses sur le facteur g
Artefact statistique
Louis Leon Thurstone est le premier à mettre en doute l'existence ou l'interprétation du facteur g. Il défend l'idée que les résultats aux sous-tests sont corrélés positivement entre eux, mais que les fonctions cognitives testées sont pourtant indépendantes. Le facteur g selon lui, ne reflète donc pas forcément un seul facteur commun mais peut-être plusieurs facteurs expliquant leurs corrélations. Depuis lors, le problème continue à être discuté par les psychométriciens, psychologues, et spécialistes en neurosciences. Ainsi, le facteur g est extrait statistiquement des corrélations observées entre les différentes habiletés cognitives mesurées par les tests, comme Charles Spearman l'a mis en évidence. Il est donc possible que le facteur g corresponde à une réalité, un processus commun aux tests, comme un processus de traitement de l'information commun, ou encore une source d'énergie commune (Jensen) ; dans ce cas, c'est un facteur. Mais il est également possible que le facteur g soit un résultat statistique mais sans que cela ne corresponde à un facteur, c'est-à-dire une réalité psychologique qui serait la source des corrélations observées. C'est la position que défendent plusieurs chercheurs, par exemple Stephen Jay Gould, qui qualifie le facteur g d'artefact statistique[28],[29]. Selon cette théorie, le facteur g serait seulement un positive manifold, c'est-à-dire non pas un facteur commun, mais le résultat des corrélations positives (fortes) entre les habiletés cognitives.
En 2006, H. van der Maas et ses collègues d'Amsterdam proposent un modèle dynamique dit de mutualisme qui propose que l'intelligence pourrait dépendre de plusieurs mécanismes indépendants, dont aucun n'influerait sur la performance au test. Ces mécanismes se soutiennent entre eux, de telle sorte que le fonctionnement efficace de l'un d'eux rende plus efficace le fonctionnement des autres ce qui créerait le positive manifold[30].
Ensemble de plusieurs facteurs
James Flynn met en garde contre le fait que le facteur g doit continuer à être examiné et son existence et interprétation soumises à l'épreuve des données empiriques. Il défend l'idée que le facteur g est devenu une heuristique, une vérité que les scientifiques n'osent plus questionner. Pour lui, c'est une erreur de type III (type-three error) : l'erreur qui consiste pour un chercheur à poser la mauvaise question et à conclure à la bonne réponse (rejeter l'hypothèse nulle pour une mauvaise raison). Flynn considère que le facteur g décrit un ensemble de facteurs, génétiques, développementaux et environnementaux[31].
Modèles fondés sur les inventaires des corrélations et analyses factorielles
Intelligence fluide et cristallisée (Cattell et Horn)
À la suite de la mise en évidence du facteur g par Spearman, et de la théorie en compétition de l'époque, la théorie des habiletés cognitives primaires du psychométricien américain Louis Leon Thurstone, les psychométriciens du milieu du XXe siècle savent qu'ils devraient organiser les découvertes liées aux analyses factorielles sous forme d'une large taxinomie des compétences cognitives liées à l'intelligence[26]. Les premières tentatives d'inventaire des corrélations sont menées dans les années 1940 par D. Wolfe[32] puis en 1951 par John W. French[33]. Aux États-Unis, l'organisation Educational Testing Service publie des études et monographies dans ce sens jusqu'aux années 1970[26],[34].
Dans ce contexte, le psychologue et statisticien Raymond Cattell découvre qu'il est possible de distinguer plusieurs composantes du facteur g : l'intelligence fluide ou facteur f, qui est en quelque sorte le moteur qui permet l'acquisition de connaissances, qu'il nomme le facteur d'intelligence cristallisée ou facteur c. Son élève puis collègue John Horn approfondit et développe ce modèle (1965). Des années 1960 aux années 1980, il publie plusieurs résumés des recherches dans le domaine[26],[35],[36]. Le modèle de Cattell et Horn, appelé le modèle Gf-Gc ou intelligence fluide et cristallisée, décrit dix facteurs cognitifs généraux qui sont repris dans les modèles suivants[26].
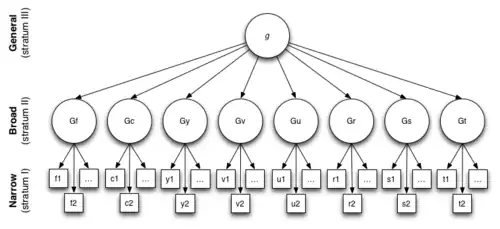
Modèle hiérarchique à trois strates (John Carroll)
Modèle d'intelligence en trois strates de Carroll (2012). Le facteur g (sur la strate III) est la résultante de capacités (sur la strate II) :
Ces sous-facteurs sont évalués par 70 habiletés cognitives (sur la strate I) mesurées par les tests psychométriques. |
En 1993, John B. Carroll publie Human Cognitive Abilities: A Survey of Factor-Analytic studies[37]. L'ouvrage présente les résultats d'une analyse factorielle exploratoire portant sur 460 bases de données qu'il a sélectionnées, incluant des études mesurant l'intelligence sur des bases psychométriques, études menées sur les soixante années antérieures dans plusieurs pays. Cette approche est la plus complète menée sur le sujet pour l'époque. Cette publication est considérée comme majeure pour la discipline de la psychométrie par de nombreux psychologues et psychométriciens[26] John Horn, par exemple, compare la théorie de Carroll au tableau périodique des éléments chimiques de Mendelyev. Pour la première fois en effet, une analyse factorielle offre une taxonomie complète des habiletés cognitives humaines en une seule structure[26]. La complexité de la tâche a été immense et la collection des données et leur analyse a pris plus de dix ans[38].
Dans ce modèle, une hiérarchie de facteurs est utilisée. Le facteur g est au sommet de cette hiérarchie. Sous g, se trouvent huit grandes capacités (Cattell et Horn en trouvaient dix) qui sont à leur tour subdivisées en soixante-dix habiletés cognitives plus spécifiques[26]. Sur les représentations graphiques de ce modèle, la grandeur des corrélations est décroissante, de gauche à droite, c'est-à-dire que le facteur le plus à gauche (Gf) a la plus forte corrélation avec g, et les corrélations des autres facteurs vont en s'amenuisant[39].
En bas du modèle (strate III) se trouvent 70 habiletés plus spécifiques en rapport avec les sciences, culture, géographie, mathématiques, nombres, lecture, écriture, grammaire, vocabulaire, fluence, information générale, écoute, induction, mémoire, contrôle de l'attention, visualisation, attention spatiale, codage, vitesse de perception, etc.[26].
Ce modèle permet de considérer à la fois que les habiletés cognitives spécifiques sont liées au facteur g et qu'elles sont également spécifiques et intéressantes en tant que telles. Par exemple, la richesse du vocabulaire est intéressante et permet d'augmenter ses chances d'être admis dans une bonne université aux États-Unis, indépendamment de son rapport avec g, souligne James Flynn[40].
Modèle Cattell-Horn-Carroll ou CHC
En 1997, le psychologue Kevin McGrew propose de regrouper les modèles de Cattell et Horn avec celui de Carroll en raison de leurs nombreux points communs[41]. Il propose de nommer cette synthèse le modèle de Cattell-Horn-Carroll, ou modèle CHC, du nom des principaux psychométriciens ayant contribué à l'élaboration du modèle[26]. Son approche n'est pas fondée sur de nouvelles analyses et il la décrit comme motivée par des raisons pratiques : il s'agit d'intégrer ces découvertes dans les mises à jour des tests psychométriques. Cette approche théorique est progressivement adoptée par les spécialistes. Cependant, la reconnaissance du modèle CHC n'est pas unanime et la taxinomie dans ce domaine est inconsistante, référant tantôt au modèle de Carroll, tantôt au modèle CHC[26].
Influence du modèle CHC sur les tests d'intelligence ultérieurs
Les modèles de Carroll et le modèle CHC se sont développés avec le temps en intégrant les idées de plusieurs auteurs. Ils sont considérés être le reflet de ce qui est actuellement connu par la recherche sur l'intelligence humaine. Les tests créés ultérieurement prennent en compte la théorie de Cattell–Horn–Carroll dans leurs techniques de validation. Le K-ABC II, publié en 2008, s'appuie sur le modèle CHC et sur le modèle neuropsychologique d'Alexandre Luria (cf. plus bas)[42]. La révision du test américain du Woodcock-Johnson, dont McGrew est un des auteurs, s'appuie également sur le modèle CHC. Dans sa quatrième révision, le test est conçu pour mesurer le facteur g, les scores composites Gf-Gc, les habiletés cognitives spécifiques, ainsi que des performances en langage oral et performances scolaires[43].
Les tests ne peuvent pas mesurer toutes les habiletés spécifiques, car les modèles de Carroll ou de CHC sont trop complexes pour pouvoir être mesurés en une seule batterie. Certaines mesures comme les mesures de temps de réaction (Gt) requièrent un équipement technologique spécifique qui ne peut être fourni dans des batteries de test traditionnelles[26].
Théories psychométriques en relation avec le modèle CHC
La théorie de l'investissement de Raymond Cattell
La théorie de l'investissement de Cattell[44],[45] propose que les différences individuelles observées dans le processus d'acquisition de compétences et de connaissances (Gc) sont en partie attribuables à l'investissement de Gf : l'intelligence fluide serait impliquée dans tous les aspects du processus d'apprentissage[46]. L'intelligence fluide serait, selon Cattell, un investissement, et l'intelligence cristallisée serait un dividende, un résultat de cet investissement[47]. Cette idée est similaire à celle de Jensen qui compare le facteur g à l'essence d'un moteur et le considère irremplaçable[47]. La théorie de l'investissement suggère que les traits de personnalité n'affectent pas les scores d'un test de QI[48],[49].
James Flynn critique cette théorie : selon lui, l'intelligence cristalline et l'intelligence fluide interagissent. Ainsi la richesse du vocabulaire (intelligence cristalline) est influencée par la richesse du milieu (lectures, conversations) et ce facteur influence l'intelligence fluide. Il ajoute que le niveau de vocabulaire joue un rôle important dans les tests d'entrée à l'université aux États-Unis, indépendamment du niveau de g fluide : les habiletés spécifiques jouent donc un rôle important dans la vie des personnes, indépendamment du niveau g fluide[47].
Théorie des processus, personnalité, intelligence et connaissance (PPIK)

Développée par Philip L. Ackerman, la théorie des processus, personnalité, intelligence et connaissance (PPIK) s'appuie sur l'approche de l'intelligence proposée par Cattell qui distingue l'intelligence fluide Gf de l'intelligence cristalline Gc. Ackerman cherche à approfondir cette théorie et s'intéresse particulièrement au développement de l'intelligence durant la vie adulte. Ackerman distingue également l'intelligence de la connaissance et l'« intelligence comme processus », qui sont comparables, mais pas identiques, à la Gc et Gf respectivement. Sur la figure ci-contre, le développement de ces deux formes d'intelligence au cours de la vie est schématisé. Selon Ackerman, l'intelligence comme processus (en rouge) s'affaiblirait vers 25 ans. L'intelligence de la connaissance (en bleu) augmenterait tout au cours de la vie[50].
Ackerman met l'accent sur le rôle de l'investissement de capacités cognitives, tout comme Cattell. Cependant, il met aussi l'accent sur le rôle de la personnalité et les facteurs de motivation et d'intérêt, ce qui diffère totalement de Cattell[51],[52]. Un trait de personnalité comme le fait d'être orienté sur la tâche (task-oriented) est lié au fait de réfléchir à un problème posé ; tandis que des personnes de type actif tendent à utiliser plutôt la force physique ou l'agression, et les personnes de type artistique utilisent plutôt l'expression de soi. La connaissance de ces personnes ne peut pas être similaire[51]. La description de la connaissance est donc créditée de différences individuelles, où les compétences des personnes diffèrent. Par exemple, la structure des connaissances d'un professionnel de la santé diffère de celle d'un architecte. Il parle d'intelligence professionnelle et d'intelligence vocationnelle, développées par les activités amateures non professionnelles[51].
Théories développementales de la construction de l'intelligence
Lev Vygotski

De 1924 à 1934, à Moscou, le psychologue Lev Vygotski conduit de nombreuses recherches sur le développement cognitif de l'enfant en relation avec son environnement. L'enfant s'appuie sur des outils psychologiques dont le plus influent est le langage : les mots lui permettent d'intérioriser et de transformer en activité mentale les expériences et activités physiques dont il fait l'expérience dans son environnement. Il s'agit d'une théorie socio-culturelle du développement qui insiste sur l'interaction entre enfant et environnement et sur le rôle actif de l'enfant. Ce soutien de l'environnement est décrit comme une zone proximale de développement : la zone située entre ce que l'enfant connaît déjà et ce qu'il doit apprendre pour parvenir à résoudre un nouveau problème[53].
Sa théorie est influente en psychologie du développement et en psychologie de l'enfant. Elle influence en particulier Alexandre Louria, dont les découvertes sur les différences entre processus simultanés et sériels seront à l'origine de la mise au point de la K-ABC par Alan Kaufman[54].
James Baldwin et Jean Piaget
James Mark Baldwin est l'un des fondateurs de la psychologie du développement, l'un des premiers présidents de l'Association américaine de psychologie (1897) et contribue à un grand nombre de publications essentielles fondant la psychologie expérimentale du début du XXe siècle. Il publie en 1915 une série de trois volumes sur le développement de l'enfant, Genetic Logic. Il y développe l'idée, reprise plus tard par Jean Piaget et d'autres psychologues, que le développement de l'enfant s'effectue en stades successifs, débutant par l'exercice des réflexes, progressant avec l'acquisition du langage puis la pensée logique. La question importante est de comprendre comment expliquer ces progrès. Selon Baldwin, cette progression d'un stade à un autre dépend du feed-back de l'environnement. Deux processus sont à l'œuvre : l'assimilation (incorporation des effets de l'environnement dans l'organisme) et l'accommodation (les changements de l'organisme)[9]. Ces concepts sont centraux au modèle de développement de l'intelligence que développe Jean Piaget par la suite[9],[55].
Baldwin fait de nombreux voyages à l'université de Genève en Suisse, où il se lie d'amitié avec le psychologue Édouard Claparède. Son livre est traduit en français et influence Jean Piaget, élève de Claparède, qui devient au milieu du XXe siècle un théoricien d'importance majeure. Piaget consacre sa carrière à comprendre le développement de l'intelligence et de la cognition et publie plus d'une centaine d'ouvrages sur le sujet. Selon Piaget, l'intelligence dérive de l'adaptation du sujet à son milieu : « l’intelligence ne débute ni par la connaissance du moi, ni par celle des choses comme telles, mais par celle de leur interaction. Elle organise le monde en s’organisant elle-même »[56]. Pour ce biologiste de formation, la notion d'adaptation est centrale pour comprendre le développement de l'intelligence.
Dans la théorie de Piaget du développement cognitif, l'accent est mis non pas sur les capacités mentales, mais plutôt sur un des modèles mentaux du monde que développe l'enfant. Quand un enfant grandit, il développe des modèles de plus en plus précis qui lui permettent de mieux interagir avec le monde. Par exemple, la permanence de l'objet décrit comment un enfant développe un modèle où les objets continuent d'exister même quand ils ne peuvent pas être vus, entendus ou touchés. Les degrés de progrès à travers ces étapes sont corrélés, mais ne sont en aucun cas identiques au QI mesuré par la psychométrie[57],[58]. Piaget conçoit l'intelligence comme une activité plutôt que comme une capacité, et sa démarche ne s'intéresse pas à la psychométrie. Durant ses années de formation, il a travaillé en effet sur les tests psychométriques, mais il ne s'y intéresse pas : il s'intéresse aux réponses des enfants sur les raisons qui les ont poussés à faire telle ou telle réponse et pose des questions durant les exercices. Cette méthode d'observation constitue le fondement de ses théories et recherches[9].
L'approche et les modèles théoriques de Piaget, qu'il a changés et perfectionnés au fil de sa longue carrière, ont été critiqués. En particulier, les âges des processus observés par Piaget dépendent de la façon dont le test est effectué (voir Permanence de l'objet). Plus généralement, la théorie peut être très difficile à tester empiriquement en raison de la difficulté de prouver ou de falsifier qu'un modèle mental, quel qu'il soit, explique le résultat observé lors de la réalisation d'un test[59]. Les théories néo-piagetiennes du développement cognitif reprennent et développent la théorie de Piaget dans de nombreux domaines : les facteurs psychométriques tels que la vitesse de traitement et la mémoire de travail ; les facteurs « hypercognitifs » comme le contrôle (self-monitoring) ; les stades ; le développement des habiletés spatiales et le développement social[60],[61].
Théorie anthropologique piagétienne de Georg Oesterdiekhoff (2012)

Georg Oesterdiekhoff publie en 2012 un article qui analyse les tendances cognitives allant des sociétés primitives et pré-industrielles au présent. Il fait l'hypothèse que la magie a évolué vers la religion puis vers la science. Les cinq facteurs de cette évolution, qui évoluent ensemble, sont la science, l'industrialisme, l'humanisme des Lumières (enlightment), l'éthique humaniste et la démocratie. Il applique les quatre degrés de niveaux cognitifs de Piaget à l'anthropologie[62].
Le niveau sensori-moteur, chez l'enfant, correspond au développement d'habiletés pratiques et visuelles analogues à celle d'un animal. Le niveau pré-opérationnel, observé chez l'enfant vers l'âge de 2 ans, correspond au développement du langage et des premiers raisonnements. Selon Oesterdiekhoff, les sociétés prémodernes, ou du moins une partie de leur population, seraient à ce stade, ce qui expliquerait leur QI faible. Vers 1900, aucune société n'aurait obtenu un score de 75 points de QI comparées aux normes actuelles, la Grèce antique étant une des exceptions[63],[64].
Le niveau formel concret chez l'enfant se développe vers 7 ans, lorsque l'enfant peut utiliser la logique pour raisonner sur des objets concrets du monde qui l'entoure. Le niveau formel des opérations se développe chez l'enfant à partir de 12 ans, lorsque les enfants peuvent raisonner sur des opérations, des concepts abstraits. Selon Oesterdiekhoff, les sociétés industrialisées ont développé les opérations formelles : elles peuvent engager des réflexions abstraites, combinatoires, hypothétiques et expérimentales, ce qui est décrit comme le stade formel B chez Piaget. Même dans ces sociétés modernes, entre 50 et 70 % des adultes demeurent au stade formel de niveau A décrit par Piaget et ne montrent pas de bonnes habiletés à utiliser le raisonnement hypothético-déductif[63].
Flynn écrit que la théorie de Oesterdiekhoff l'a influencé dans sa compréhension des changements de scores aux matrices de Raven observées sur plusieurs générations (l'effet Flynn, détaillé ci-après). Il considère que cette idée permet d'expliquer le plafonnement de la montée des scores aux matrices de Raven sur plusieurs générations. L'éducation ne peut pas perpétuellement augmenter ce type de cognition, qui au contraire, peut même perdre du terrain sous la pression d'autres phénomènes sociaux[63].
Théories sur les facteurs non cognitifs
.jpg)
Tous les psychologues s'accordent sur le fait que les tests d'intelligence ne mesurent pas seulement des performances cognitives, mais que d'autres facteurs jouent également un certain rôle dans les performances obtenues aux tests. Wechsler connaissait bien ce problème, car il n'était pas seulement un chercheur et psychométricien mais également un psychologue clinicien. Il a souligné qu'une partie de la variance à ses tests restait inexpliquée et était certainement due à des facteurs de motivation et d'ordre émotionnel que sa première WAIS ne parvenait pas à suffisamment détecter[7]. Le problème posé par les facteurs non cognitifs influençant les résultats, a été de comprendre comment mesurer et identifier ces facteurs.
La théorie de l'auto-efficacité de Bandura
Albert Bandura est, avec Piaget cité ci-dessus, l'un des auteurs des plus cités en psychologie pour ses nombreuses contributions à la psychologie de l'apprentissage et à la psychologie sociale. Il met en évidence des liens entre le sentiment d'efficacité personnelle qu'il décrit comme l'auto-efficacité, d'une part, et l'intelligence et la réussite scolaire ou académique, d'autre part. L'idée que des aspects non cognitifs influencent les scores aux tests de performance cognitive n'est alors pas nouvelle, mais il s'agit de le démontrer, de le formaliser sur le plan théorique et de le mesurer, ce que Bandura est le premier à faire de manière scientifique[65],[66].
Bandura suggère que la personne ayant un sentiment d'auto-efficacité relativement faible dans n'importe quel domaine sera une personne qui tentera d'éviter les défis. Cet effet est accentué si la personne perçoit la situation comme une menace personnelle. Quand l'échec arrive, elle récupère plus lentement que d'autres et attribue son échec à un manque d'aptitude de sa part. En revanche, la personne ayant un niveau élevé de l'auto-efficacité se focalise sur l'objectif de la tâche ce qui augmente sa performance[67]. Par exemple, deux étudiants peuvent avoir les mêmes compétences cognitives, mais ne pas montrer les mêmes performances : pour l'un, la réussite scolaire fait plaisir à ses parents et ses professeurs, ce qu'il valorise ; pour l'autre, la réussite scolaire représente une menace personnelle comme le risque d'être rejeté par ses amis et dans sa classe[65].
L’œuvre de Bandura est considérable[68] et sa théorie de la cognition sociale a ouvert la voie à de nombreuses autres recherches sur les facteurs non cognitifs influençant les performances intellectuelles, scolaires ou académiques[65], le contrôle de soi chez des adolescents de 13 ans[69] ou les relations interpersonnelles chez des chercheurs[70].
Impact des facteurs non cognitifs sur la scolarité et résultats économiques et sociaux
Au début des années 2000, l'économiste James Heckman et son équipe de l'université de Chicago mettent en évidence que des facteurs non cognitifs comme l'estime de soi, le sentiment de contrôle et d'auto-efficacité, ont autant d'importance que les facteurs cognitifs sur plusieurs résultats économiques : le choix de l'école, le choix de la profession, les salaires (à choix de profession identique) et les conduites à risque (grossesses adolescentes, tabagisme, usage de drogues douces, conduites criminelles)[71]. Heckman souligne l'importance de l'auto-discipline, la consistance, la fiabilité sur les résultats professionnels et personnels[72].
Théorie de la compensation de l'intelligence (2009)
La théorie de la compensation de l'intelligence (Intelligence compensation theory), ou TIC, est un terme utilisé pour la première fois par Wood et Englert en, 2009[73]. L'hypothèse principale de cette théorie est que les personnes qui sont relativement moins intelligentes doivent travailler plus durement et plus méthodiquement, deviennent plus résolues, soignées et consciencieuses, pour atteindre leurs objectifs, afin de compenser leur « manque d'intelligence ». Au contraire, les personnes plus intelligentes n'ont pas besoin de traits ou comportements associés avec le facteur de la personnalité de conscienciosité, ou souci du travail bien fait, puisqu'elles peuvent compter sur leurs capacités cognitives, rendant la structure ou l'effort plus superflu ou moins nécessaire[74],[75].
La théorie suggère l'existence d'un lien de causalité entre l'intelligence et le fait d'être consciencieux et appliqué. Cette hypothèse est jugée plausible, car la théorie prédit alors une relation de cause à effet inverse entre intelligence fluide (Gf) et la conscience professionnelle[76]. Un argument allant dans le sens de cette théorie est qu'elle prédit qu'à l'âge scolaire, dans la mesure où la personnalité s'est développée avant que l'intelligence cristallisée (les connaissances) ne soit totalement développée, les enfants les plus consciencieux auraient un gain d'intelligence cristallisée plus fort lors de leur éducation, car ils seraient plus efficaces, soigneux, travailleurs et obéissants[77].
Cette théorie a cependant été invalidée. Les preuves avancées par ses auteurs souffrent d'un biais de sélection de l'échantillon : seuls des enfants ayant un certain niveau de réussite ont été choisis pour participer aux études des auteurs, rendant leurs conclusions invalides[78].
Théories défendant plusieurs intelligences indépendantes du facteur g
Théorie des intelligences multiples de Howard Gardner (1983)
Dans Les formes de l'intelligence (1983, traduction française 1997), Howard Gardner, professeur de psychologie cognitive à Harvard, émet l'hypothèse que plusieurs types d'intelligence coexistent chez chaque être humain. En étudiant des individus souffrant de troubles cérébraux, il distingue sept types d'intelligence : logico-mathématique, linguistique, spatiale, musicale, corporelle-kinesthésique, interpersonnelle et intrapersonnelle. Dans une deuxième édition de ce livre (1993), il ajoute l'intelligence naturaliste. Il soutient que les tests psychométriques ne mesurent que les aspects linguistiques et logiques de l'intelligence, et certains aspects de l'intelligence spatiale[19].
La théorie de Gardner remporte un grand succès dans les milieux de l'éducation. De nombreux ouvrages de psychologie populaire embrassent le modèle qui offre une occasion d'améliorer l'estime de soi d'enfants en échec scolaire en leur permettant d'espérer que leurs autres qualités les aideront à réussir dans la vie[79]. Malgré son succès populaire, le modèle n'est pas validé empiriquement et est fortement critiqué par la communauté scientifique. L'une des principales critiques de la théorie de Gardner est qu'elle n'a jamais été testée, soumise à un examen par les pairs (ni par Gardner ni par d'autres chercheurs indépendants) et qu'elle est infalsifiable[80],[79]. Une autre critique fréquente est qu'elle met sur le même plan des compétences dont l'importance pour la réussite professionnelle ou sociale semble différente : les compétences logico-mathématiques ou linguistiques apparaissent bien plus importantes pour la réussite scolaire et professionnelle que les talents musicaux ou artistiques sur la population générale[79],[81].
Théorie triarchique de l'intelligence de Robert Sternberg (1988)
.jpg)
Dans les années 1980, le psychologue américain Robert Sternberg défend que les théories de l'intelligence proposées par les psychométriciens ne rendent pas compte entièrement de la réussite dans la vie. En 1988, il propose une théorie « triarchique » de l'intelligence[82],[83] qui ne remet pas en cause la validité d'un facteur général d'intelligence, mais cherche à compléter ce modèle. Elle décrit trois aspects fondamentaux de l'intelligence : analytique (aspect compositionnel), créatif (aspect expérientiel) et pratique (aspect contextuel).
En 1997, il révise le nom de sa théorie et parle de Theory of Successfull Intelligence soulignant l'importance de prendre en compte le succès dans la vie de l'individu en fonction de son contexte social, qui lui est propre (et non de la société en général)[84],[85].
Ce modèle présente certains points forts, dont son originalité. Il permet de relancer l'ancien débat sur la nature de l'intelligence. Selon Flynn, l'approche de Sternberg permet de mesurer des aspects qui ne sont pas pris en compte par les tests traditionnels comme le fait que l'étudiant qui sait rendre ses essais suffisamment intéressants retiendra l'attention de ses enseignants à l'université[85].
La théorie de Sternberg a été cependant souvent critiquée parce qu'elle ne s'est pas appuyée sur des observations expérimentales, mais sur des intuitions et arguments purement théoriques[11],[86],[87],[88],[89].
Théories issues de la neuropsychologie et des neurosciences cognitives
La psychologie est composée de divers champs de recherche variant quant aux questions posées et aux méthodes utilisées. Dans le domaine de la neuropsychologie, des modèles fondés sur l'étude du système nerveux sont développés pour expliquer le fonctionnement des fonctions cognitives sur des bases physiologiques. À la suite de l'approche psychométrique, les neurosciences cognitives se sont également intéressées à l'intelligence et aux performances cognitives. Les recherches dans ce domaine sont relativement récentes et se perfectionnent grâce aux développements technologiques rapides de la génétique et des techniques d'imagerie cérébrale. Les théories et modèles issus de la neuropsychologie cognitive ne sont pas incompatibles avec les recherches sur la psychométrie ou la psychologie cognitive. Les approches sont complémentaires : la psychométrie observe les performances dans des conditions variées tandis que les neurosciences tentent de comprendre les fondements biologiques de ces effets. Dans les deux cas, les relations entre biologie, génétique et comportements, sont vues comme interactives (domaine de l'épigénétique).
Théorie PASS de Das et collaborateurs (1975, 1994)
Se basant sur les études du psychologue et neurologue russe Alexandre Louria (1966[90],[91], 1973[92],[93]) et sur l´approche cognitive[94], le psychologue indo-canadien Jagannath Prasad Das et ses collaborateurs ont proposé la théorie PASS, acronyme de planification, attention, simultané et successif[95]. Ce modèle, révisé et amélioré depuis sa première publication en 1975, décrit la cognition comme étant organisée en trois systèmes et quatre processus[96],[97] :
- la planification est responsable du contrôle et de l'organisation de comportement, la sélection et l'élaboration de stratégies et de suivi de la performance ;
- l'attention est responsable du maintien du niveau d'éveil et de la vigilance et la focalisation sur des stimuli pertinents ;
- les processus simultanés et successifs sont responsables du codage, de la transformation et de la conservation des informations. Le traitement simultané est engagé lorsque la relation entre les éléments et leur intégration dans des unités entières de l'information est nécessaire. Le traitement successif est nécessaire pour organiser différents éléments dans une séquence[96],[97].
Théorie de l'intégration fronto-pariétale de Jung et Haier (P-FIT, 2007)

En 2007, Rex E. Jung et Richard J. Haier publient les résultats d'une revue des données de 37 études d'imagerie cérébrale. Ils ont sélectionné les études employant des techniques d'imagerie fonctionnelle et d'imagerie structurelle offrant les meilleures résolutions pour l'époque et ont complété leurs analyses par des études sur les patients présentant des lésions cérébrales. Jung et Haier en concluent que la base biologique de l'intelligence provient de la façon dont les régions frontales et pariétales du cerveau permettent une communication et un échange d'information avec les autres régions cérébrales[98]. Ils décrivent leur modèle comme une explication biologique des facteurs g, Gf et Gc, qu'ils nomment la théorie de l'intégration fronto-pariétale ou P-FIT. De vastes réseaux reliant des aires du système nerveux central sont impliqués dans les résolutions de tâches associées à ces trois facteurs. Les aires du cerveau liées par ces réseaux sont le cortex frontal dorsolatéral, les aires de Broca et Wernicke impliquées dans le traitement du langage, les aires associatives somato-sensorielles et les aires associatives visuelles ; leur modèle inclut les régions de substance blanche c'est-à-dire les fibres reliant ces régions[99].
Une revue de question, menée par Ian Deary en 2010, concernant les théories de la neurobiologie de l'intelligence conclut que ce modèle est la meilleure réponse à la question de savoir où réside l'intelligence dans le cerveau (« the best available answer to the question of where in the brain intelligence resides »)[100]. Cette théorie cependant n'explique pas entièrement certains aspects de l'intelligence, tels que l'aspect dynamique des processus cognitifs ou les différences individuelles observées dans les stratégies utilisées pour résoudre les tâches cognitives des tests psychométriques[100].
Liens entre intelligence et morphologie du cerveau
Morphologie cérébrale

Des recherches se multiplient pour comprendre les liens entre les changements morphologiques et physiologiques du cerveau et les scores aux épreuves d'intelligence chez des personnes sans troubles mentaux. Ces relations peuvent aller dans les deux directions lorsque la question des causes et conséquences est posée. Ainsi, on pourrait penser qu'un cerveau plus large est plus efficace, aboutissant à des scores de QI plus élevés. Cependant, il est tout à fait possible que ce soit le développement de l'intelligence (par des stimulations environnementales) qui améliore le développement du cerveau. Il est aussi possible qu'un ou des facteurs communs (par exemple de bonnes conditions de croissance dans l'utérus avant la naissance) expliquent cette relation. Dans ce domaine, les interprétations des causes et conséquences sont difficiles et débattues par les spécialistes. En 2001, Deary résume les recherches dans le domaine : « Il y a une association modeste entre la taille du cerveau et l'intelligence psychométrique. Les personnes avec un cerveau plus large ont de meilleurs scores aux tests mentaux. Nous ne savons pas encore comment cette association se produit »[101].
Les connaissances dans ce domaine évoluent avec le perfectionnement de l'imagerie cérébrale. En 1993, Nancy Coover Andreasen et son équipe ont analysé les images cérébrales de 67 personnes obtenues par imagerie par résonance magnétique (IRM). Elle a observé des corrélations modérées, de l'ordre de 0,30 à 0,40, entre le volume de cerveau et les scores à plusieurs tests cognitifs, dont l'échelle de Wechsler[102]. Les corrélations concernaient certaines régions corticales plutôt que d'autres ; l'épaisseur de la matière grise sur certaines zones indiquait une corrélation modérée avec le QI tandis qu'une telle corrélation n'était pas observée sur les zones de matière blanche[103]. En 1999, Tony Vernon et un groupe de recherche ont mené une analyse sur 11 recherches précédentes, collectant un ensemble de 432 scans et les performances cognitives correspondantes. Ils ont également mis en évidence une corrélation modeste (moyenne 0,40) entre volume cérébral et intelligence psychométrique[102]. Les études ultérieures ont vérifié cette corrélation.
Volume de zones spécifiques
Les corrélations entre le QI et le volume (global, matières grise et blanche) des zones du cerveau qui sont supposées être le siège de l'intelligence (les parties frontales et certaines zones pariétales et temporales, ainsi que l'hippocampe) sont extrêmement faibles de l'ordre de 0,25[104].
Épaisseur corticale
Des corrélations les plus intéressantes ont été trouvées entre les résultats aux tests psychométriques et l'épaisseur des zones de matières grises des régions concernées[104]. La substance grise représente environ 40 % du volume du cerveau et la substance blanche environ 60 %[104].
Des études d'imagerie cérébrale et d'entraînement cognitif (apprentissages) montrent que sous l'effet d'un apprentissage intensif durant plusieurs mois, les zones du cerveau stimulées par l'apprentissage montrent une augmentation de l'épaisseur du volume de la substance grise[105],[106]. Ce phénomène pourrait peut-être expliquer que l'épaisseur de la substance grise, pourrait changer sous l'effet des stimulations de l'environnement stimulant le développement intellectuel et les apprentissages[104].
Neurophysiologie

Les personnes dont les scores de QI sont les plus élevés utilisent moins de ressources énergétiques du cerveau durant les tâches cognitives de difficulté moyenne, contrairement aux autres personnes qui fournissent plus d'efforts pour effectuer la même tâche : leur cerveau est plus efficace[100]. Sur des tâches cognitivement très difficiles, les personnes dont le QI est plus faible peuvent stopper la recherche de solution et arrêter de fournir des efforts, tandis que les personnes au QI plus élevé se mettent à fournir plus d'efforts pour tenter de résoudre le problème cognitif complexe.
Deary et son équipe ont mis en évidence par des méthodes d'imagerie cérébrale structurelles et fonctionnelles, que ce phénomène peut être expliqué par l'utilisation différente des réseaux de neurones et en particulier des zones pariéto-frontales[100]. Ils observent qu'en moyenne, les personnes à l'intelligence plus élevée produisent des réponses électriques cérébrales plus rapides, plus complexes (string length measure) et ayant une configuration légèrement différente sur la pente entre N100 et P200 (cf. schéma)[107]. Ils obtiennent ces résultats en utilisant la technique des potentiels évoqués auditifs qui consiste à mesurer l'activité électrique du cerveau par un électro-encéphalogramme pendant des tâches d'écoute d'un son répétitif. En 2001, ils concluent que les résultats sont encore difficiles à valider du fait de l'hétérogénéité des résultats disponibles. De plus, plusieurs interprétations sur les causes et conséquences de cette relation sont possibles et il n'y a pas encore de consensus scientifique sur cette question[107].
Impact de l'environnement biologique et de la santé
Épidémiologie cognitive
L'étude des relations entre santé et intelligence est nommée épidémiologie cognitive, une discipline qui a vu le jour au début des années 2000 sous l'impulsion du psychologue écossais Ian Deary[108],[109]. L'épidémiologie cognitive cherche à mettre en évidence les liens statistiques longitudinaux entre les scores de QI sur des cohortes d'enfants et leur santé et mortalité mesurées plusieurs décennies plus tard, ainsi que sur les cohortes d'adultes et de personnes âgées[110]. La discipline cherche aussi à trouver les explications des liens entre santé et intelligence[109]. Bien que ces liens ne soient pas encore complètement compris, il est établi que les personnes ayant les QI plus élevés ont en moyenne une espérance de vie plus longue, une meilleure santé et une meilleure hygiène de vie. Les principaux facteurs explicatifs de ces corrélations sont le style de vie favorable à une bonne santé, l'éducation, et à l'inverse les comportements à risque augmentant en particulier les risques de maladies cardio-vasculaires[109].
Nutrition

La sous-nutrition avant la naissance et après la naissance peut altérer le développement cognitif ultérieur mesuré plusieurs années plus tard. L'idée que la nutrition prénatale peut affecter l'intelligence vient de l'hypothèse de programmation fœtale de David Barker[111]. Selon ce modèle, pendant les phases critiques de développement, l'environnement intra-utérin affecte ou « programme » comment l'enfant va se développer. Barker pense que la nutrition est l'une des plus importantes influences intra-utérines qui affectent le développement. La sous-nutrition pourrait changer de façon permanente la physiologie et le développement de l'enfant[112].
Comme la nutrition prénatale est difficile à mesurer, le poids de naissance est utilisé comme un marqueur de substitution de la qualité de la nutrition dans de nombreuses études[113]. La première étude longitudinale sur les effets de la sous-nutrition, mesurée par le poids à la naissance, sur l'intelligence, a porté sur les scores psychométriques d'hommes de 19 ans nés pendant la famine hollandaise de 1944-45. Les résultats n'ont alors pas indiqué d'effet de la sous-nutrition sur le développement intellectuel[19],[114]. Des études ultérieures suggèrent un effet négatif modeste mais néanmoins significatif de la sous-nutrition prénatale sur le développement cognitif[113]. La sous-nutrition prénatale, en particulier la malnutrition protéique, peut conduire à de nombreuses irrégularités dans la maturation du cerveau. Elle affecte les processus d'organisation cellulaire du cerveau et peut mener à des troubles de l'attention et troubles d'apprentissage[115].
Les études sur la sous-nutrition postnatale montrent qu'elle affecte également le développement intellectuel. Cette relation est difficile à établir puisque la sous-nutrition est associée à des facteurs socioéconomiques. Mais des études où des nourrissons ont reçu des compléments riches en protéines pendant plusieurs années montrent que même dans les classes socio-économiques les plus défavorisées, les nourrissons supplémentés ont de meilleurs scores aux tests d'intelligence plusieurs années plus tard, comparés aux enfants de villages témoins qui n'ont reçu ces suppléments que plus tard, à l'âge de deux ans[19],[116].
Les liens entre l'allaitement et les gains cognitifs ont été souvent étudiés. Les bénéfices de l'allaitement sur la santé de l'enfant et la santé de la mère, et sur la réduction de leur mortalité, sont largement démontrés[117]. Plusieurs études montrent que l'allaitement est associé à des gains cognitifs plusieurs années plus tard[117],[118],[119]. Cependant, les revues systématiques et méta-analyses ne confirment pas toujours le rôle de l'allaitement sur le développement intellectuel[120],[121].
Chez les enfants plus âgés, d'âge préscolaire ou scolaire, les études de supplémentation en micronutriments, en particulier le fer et le zinc, et en acides gras polyinsaturés ont également montré des bénéfices sur des populations souffrant de sous-nutrition ou de déficits de certains nutriments ; mais leurs effets sont faibles et les études menées en double aveugle et avec des groupes placebos sont trop peu nombreuses pour permettre de conclure avec certitude à des effets[122],[123],[124].
Chez les personnes âgées, la nutrition peut jouer un rôle préventif retardant le vieillissement cognitif. Des études épidémiologiques suggèrent que les nutriments tels les acides gras polyinsaturés omega-3 trouvés dans les poissons, et autres acides gras polyinsaturés, les vitamines B9 et B12, jouent un rôle préventif contre le vieillissement cognitif et contre les risques de maladie d'Alzheimer[125]. Ce domaine de recherche relativement nouveau offre trop peu d'études sur de larges cohortes, et trop peu d'études cliniques explorant le rôle de supplémentations : les effets de ces nutriments pris en supplémentation en prévention restent difficiles à évaluer[126].
Toxiques

Plusieurs substances toxiques peuvent avoir des répercussions négatives et irréversibles sur le développement de l'intelligence, particulièrement dans les phases les plus précoces du développement du système nerveux. Les médicaments ou drogues ingérés durant la grossesse peuvent toucher le système nerveux de l'enfant et affecter son développement ultérieur : certains antibiotiques, barbituriques, opiacés, médicaments affectant le système nerveux central, hormones et même l'aspirine, par leurs effets teratogènes durant la grossesse, peuvent affecter le développement cognitif de l'enfant[127].
Une intoxication au plomb avant la naissance ou durant l'enfance peut mener à un saturnisme et à une déficience mentale irréversible[128],[129]. Aux États-Unis, dans une étude à long terme menée dans les années 1980-1990, des enfants ayant grandi à proximité d'une fonderie de plomb ont été observés. Les QI des enfants étaient négativement corrélés aux concentrations de plomb mesurées dans leur sang. Cette étude suggère qu'il n'y a pas de dose minimale sans danger[130],[19].
L'exposition prénatale à l'alcool peut grandement affecter les performances de l'enfant sur les tests d'intelligence, et sa croissance intellectuelle. Si l'exposition à l'alcool a lieu durant la vie intra-utérine et si la mère s'est fortement intoxiquée, l'enfant peut souffrir d'un syndrome d'alcoolisation fœtale, qui se traduit par un retard mental, des déformations physiques de la tête et du visage, malformations cardiaques et une croissance ralentie[131]. Environ 2,8 à 4,8 bébés sur 1 000 en moyenne, selon les estimations, sont nés avec le syndrome d'alcoolisation fœtale[132].
Des doses modérées d'alcool durant la vie intra-utérine peuvent affecter le développement de l'enfant, même si l'enfant ne développe pas tous les signes du syndrome d’alcoolisation fœtale. Streissguth et collaborateurs[133] ont montré, chez des enfants de 4 ans, que les doses modérées d'alcool prises par leur mère durant leur grossesse (40 ml quotidiennement, soit environ 3 verres) ont pour effet une baisse de la moyenne des scores aux tests d'intelligence de 4 points[19],[134]. D'autres études montrent que la consommation d'alcool durant la grossesse augmente les risques de déficience mentale, de troubles du comportement et les troubles d'apprentissage[135],[134]. Il est difficile de déterminer à partir de quelles doses l'alcool entraîne des dommages sur la santé ou la cognition de l'enfant. Cependant l'alcool consommé par la femme enceinte est retrouvé dans le sang du bébé qu'elle porte, or cet alcool nuit à la croissance des cellules nerveuses[135].
Le tabagisme de la femme enceinte a de multiples conséquences négatives sur la santé de l'enfant, et il est accompagné généralement d'un tabagisme durant les années qui suivent, exposant le jeune enfant à un tabagisme passif. Outre ses dangers pour la vie et la santé de l'enfant, le tabagisme maternel peut entraîner des problèmes neurologiques, cognitifs, comportementaux. Ces problèmes ont des répercussions à l'âge scolaire, se traduisant par des problèmes d'attention, d'hyperactivité, troubles de l'apprentissage et du comportement et scores de QI plus faibles[136].
Impact de l'environnement humain
Sur le développement de l'intelligence de l'enfant

L'impact de l'environnement humain sur l'intelligence est un vaste champ de recherche qui engage plusieurs disciplines scientifiques : la médecine et psychiatrie, la psychologie, la sociologie et l'épidémiologie, l'économie et les politiques de santé à grande échelle. L'environnement humain, de la famille ou milieu culturel, est déterminant pour permettre à l'enfant de développer son intelligence et toutes ses habilités cognitives et sociales. L'impact de l'environnement humain sur le développement cognitif et social a été observé par les pionniers de la psychologie du développement, dont Lev Vygotski qui a mis en évidence l'importance des interactions langagières, Albert Bandura qui a mis en évidence l'importance de l'apprentissage par imitation des autres humains, ou encore Diana Baumrind, qui a modélisé l'impact du style parental sur le développement psychologique de l'enfant. Les contextes éducatif, familial et socioculturel jouent un rôle sur le développement cognitif et sur le développement intellectuel qui n'est plus discuté[137],[138],[139].
Des questions cependant restent non résolues quant à leurs interactions avec les influences génétiques et l'importance respective de l'environnement et des facteurs héréditaires et génétiques sur l'intelligence ou sur les scores de QI et le facteur g[137],[138].
Sur le développement de l'intelligence de l'adulte
Si l'influence précoce du milieu sur l'intelligence n'est plus à démontrer, l'influence du milieu sur l'intelligence chez l'adulte est plus difficile à mesurer. Les interactions entre environnement et intelligence sont multiples et complexes à analyser en raison des nombreux facteurs impliqués. Ces interactions vont dans deux sens : le QI prédit une meilleure réussite scolaire et dans les formations, mais indépendamment, l'éducation augmente les scores de QI[140],[141]. Les personnes qui ont de meilleures performances scolaires peuvent, en moyenne, accéder à de meilleures opportunités académiques et professionnelles. Leur réseau de connaissance est lié aux milieux académiques et professionnels, et il enrichit ou appauvrit les stimulations que la personne adulte reçoit dans ces milieux. Ainsi, l'environnement continue à jouer un rôle sur le niveau d'intelligence de l'adulte[142].
Impact des facteurs génétiques
Variations individuelles explorées par la génétique moléculaire
Des anomalies génétiques sont connues depuis longtemps pour leur impact délétère sur le développement cognitif (ex : trisomie 21, syndrome de l'X fragile), mais à fin 2019 peu de liens avaient été trouvés entre le QI ou d'autres mesures de l'intelligence et les variations génétiques courantes. Si certains variants génétiques sont suspectés d'être liés à la variabilité des capacités cognitives, la détermination de leur rôle est difficile en raison de la complexité des processus cognitifs et du grand nombre de facteurs génétiques et non génétiques impliqués[143]. Les études portant sur le sujet ne mettent en évidence que des associations très faibles et celles-ci ne sont généralement pas répliquées[144].
En 2014, une étude a trouvé une faible corrélation entre la variabilité courante du gène NPTN et le QI au sein d'un échantillon de 1583 adolescents[145]. La part de variance du QI explicable par celle-ci dans l'échantillon a été estimée à 0,7 % pour le QI verbal et 0,5 % pour le QI non verbal[146]. L'autrice principale a déclaré dans la presse que le gène NPTN « explique seulement une infime partie des différences dans les capacités intellectuelles chez l'Homme. Il ne s'agit en aucun cas du « gène de l'intelligence » »[147],[148].
Une autre étude publiée en 2014 a trouvé une association statistiquement significative, dans trois échantillons contenant au total 718 Américains âgés de 52 à 85 ans, entre la variabilité du gène KL codant la protéine khloto (associée au processus de vieillissement) et celle des performances cognitives[149]. L'auteur principal a déclaré dans la presse qu'un surcroît de protéine khloto pourrait augmenter le quotient intellectuel jusqu'à six point[150], mais cette estimation n'est pas étayée dans l'article scientifique publié.
Des mutations délétères des gènes codant les protéines Huntingtin[151],[152], FOXP2[153],[154],[148],[155] sont associées à des déficiences cognitives.
À l'autre extrémité du spectre de l'intelligence, la recherche de variants génétiques associés à un très haut QI s'est pour l'instant soldée par un échec. Dans leur échantillon comparant 1 409 personnes de QI > 170 (échelle américaine) à 3253 sujets contrôles, Spain et al. 2016 n'ont détecté aucun variant de gène codant une protéine qui soit associé de manière statistiquement significative à la différence entre les deux groupes, et n'ont pas non plus trouvé d'association avec des combinaisons d'allèles rares[156]. De son côté, le groupe de Robert Plomin a trouvé en 2018 trois SNP associés de manière statistiquement significative au fait d'avoir un très haut QI dans un échantillon de découverte, mais pas de gène significativement associé, et les associations avec les SNP n'ont pas été répliquées dans quatre autres échantillons[157].
L'étude de Hill et al. publiée en , la plus grande étude d'association pangénomique portant sur l'intelligence à sa date de sa parution[158], a identifié 187 locus génétiques associés de manière statistiquement significative à une mesure de l'intelligence dans un échantillon de découverte de 121 000 individus[159]. Toutefois, les tailles d'effet de ces associations étaient extrêmement modestes, aucun variant génétique ne prédisant une part de variance notable.
De même, sur un échantillon de 1,1 million de personnes d'ascendance génétique européenne, l'étude de Lee et al. publiée en a identifié 1 271 variants génétiques montrant une corrélation avec EduYears, un indice de réussite scolaire[160]. Toutefois, le score polygénique bâti en utilisant ces 1 271 variants a permis de rendre compte de seulement 3,2 % de la variance d'EduYears en moyenne dans deux cohortes d'Américains d'origine européenne (un peu moins de 4 % dans l'une, environ 2,5 % dans l'autre).
Héritabilité des mesures de l'intelligence
L'héritabilité des mesures de l'intelligence (score de QI, facteur g, réussite scolaire,...), toujours calculée pour une population donnée et uniquement valable pour celle-ci, est la mesure de leur part de variance attribuable aux différences génétiques entre les individus de la population. Quelle que soit la valeur de cette héritabilité, cela ne fixe aucune limite de principe à la malléabilité de l'intelligence dans une population[143]. Cette héritabilité ne peut pas être calculée avec précision : elle doit être estimée, et il existe diverses méthodes pour le faire.
Estimation par les méthodes classiques d'étude d'apparentés et de jumeaux
Les études classiques d'apparentés ou de jumeaux ont fréquemment abouti à des estimations d'héritabilité à l'âge adulte de l'ordre de 50 à 80 %[161],[162]. Toutefois, ces méthodes d'estimation cumulent des biais qui conduisent à une surestimation de l'héritabilité, y compris les études de jumeaux parfois présentées à tort comme fiables[163],[164],[165],[166].
Estimation par des modèles incorporant les effets d'un grand nombre de SNP
Depuis les années 2000 ont été développées des méthodes d'estimation de l'héritabilité qui sont basées sur les données génomiques de gros échantillons d'individus. Le principe général de la méthode qui a pour l'instant été le plus utilisée consiste à bâtir un modèle mathématique de l'effet statistique du génotype comme étant la combinaison des effets statistiques d'un sous-ensemble plus ou moins grand des polymorphismes mono-nucléotidiques (SNP).
Seule la prise en compte de plusieurs dizaines de milliers de SNP permet de reconstituer, via un modèle statistique ad hoc, une part de variance substantielle attribuable aux génotypes dans l'échantillon de population utilisé, c'est-à-dire une héritabilité dite génomique estimée approchant parfois 50 %[167]. Toutefois, le cas échéant ces modèles souffrent d'overfitting, c'est-à-dire de sur-ajustement du modèle aux données. Dans ce cas, le modèle « explique » une grande part de variance par les SNP, mais seulement parce qu'il a incorporé un bruit aléatoire présent dans les données de l’échantillon qui a servi à le construire (une partie de cette héritabilité estimée est donc fictive). Pour limiter l'overfitting, il est recommandé d'opérer des validations croisées du modèle sur d'autres échantillons[168]. La mise en œuvre de ces validations croisées dans les études humaines reste insuffisante et de fait, la part de variance expliquée par ces modèles chute souvent drastiquement lorsqu'ils sont appliqués à un autre échantillon.
Ainsi, dans Hill et al. 2018 par exemple, les auteurs ont pu construire un modèle mathématique expliquant 25,44 % de la variance d'une mesure de l'intelligence dans l'échantillon initial, mais lorsque ce modèle a été appliqué à trois échantillons de réplication, seuls 3,64 % à 6,84 % de la variance de mesures de l'intelligence ont été prédits par le modèle[159].
De même, le modèle bâti par Lee et al. 2018, sur la base d'un échantillon de 1,1 million de personnes d'ascendance génétique européenne, en utilisant environ 250 000 SNP, n'a permis de rendre compte que de 12,7 % de la variance du nombre d'années d'études et 6,9 % de celle d'une mesure de performance cognitive dans une cohorte de réplication, et de respectivement 10,6 et 9,7 % dans une autre[160]. De plus, selon les auteurs le modèle a perdu 85 % de son pouvoir prédictif lorsqu'il a été appliqué à un échantillon de personnes afro-américaines. Les auteurs soulignent en outre que l'effet propre des variants génétiques est probablement surestimé par le modèle en raison d'une « corrélation entre le niveau d'éducation et un environnement éducatif propice à la réussite scolaire ».
Estimation par la méthode RDR (relatedness disequilibrium regression)
La méthode RDR est une méthode récente également basée sur des données génomiques, visant à compenser certains défauts des méthodes basées sur une modélisation des effets statistiques des SNP. Elle estime l'héritabilité en examinant la façon dont la similarité phénotypique entre individus varie en fonction de leur proximité génétique, mesurée par la fraction du génome partagée par deux individus car héritée d'un ancêtre commun. Mise en œuvre pour la première fois en 2018 sur un échantillon de près de 55 000 Islandais, elle a abouti a des estimations d'héritabilité nettement plus faibles que celles produites par les méthodes existantes[169]. En particulier, l'héritabilité du niveau d'études a été estimée dans cet échantillon à 17 %, contre respectivement 52 %, 29 % et 40 % avec trois autres méthodes et 43 % avec l'étude de jumeaux de référence.
Modèle de Dickens et Flynn relatif à l'interaction des facteurs génétiques et environnementaux
James Flynn a observé pour la première fois que les scores de QI ont augmenté durant le XXe siècle dans plusieurs pays[170]. Cette observation, validée, est appelée communément l'« effet Flynn ». De nombreuses recherches sont menées pour tenter de comprendre l'origine de cet effet et ses fluctuations. Flynn et son collaborateur Dickens ont publié un modèle tentant de rendre compte des variations générales de QI sur de longues périodes de temps, c'est-à-dire sur plusieurs générations[170].
Les auteurs tentent de résoudre des contradictions apparentes entre les études montrant l'impact puissant de l'environnement sur le développement de l'intelligence et les études sur les jumeaux qui suggèrent un impact important et fondamental de l'héritage génétique sur les scores de QI obtenus à l'âge adulte. Dickens propose que les facteurs environnementaux en jeu sont quasiment les mêmes à l'intérieur d'une génération et entre les générations (Flynn rapporte que Dickens est à l'origine de l'idée et qu'il l'a aidé à formuler et approfondir ces concepts). Mais les dynamiques par lesquelles ils opèrent sont différentes. Ce modèle fait l'hypothèse qu'un « multiplicateur individuel » et un « multiplicateur social » sont en jeu. Le multiplicateur individuel est le fait que la génétique de l'individu est dominante à l'intérieur d'une génération. Lorsque l'enfant a des facilités intellectuelles, l'environnement devient de plus en plus stimulant, il attire à lui d'autres enfants intelligents, fait de meilleures études, à l'occasion desquelles il rencontre des personnes plus formées et cultivées. L'enfant moins performant (pour des raisons en partie génétiques) reçoit moins de stimulations et d'encouragements à poursuivre une éducation de qualité, se retrouve dans un milieu humain moins stimulant sur le plan intellectuel[142].
Le multiplicateur social joue un rôle plus important que les facteurs génétiques et explique les différences observées entre les générations. Sur un groupe entier, d'une génération à une autre, ces facteurs sont quasiment identiques. L'augmentation très forte des QI sur plusieurs générations observée au cours du XXe siècle s'explique par les conditions environnementales, et non par les facteurs génétiques (pour la même raison, Flynn rejette les explications génétiques mises en avant par Jensen ou Lynn pour expliquer les différences observées entre les groupes ethniques). Ces augmentations de QI viennent surtout de l'augmentation forte du nombre d'années de scolarisation et s'inscrivent dans d'autres changements sociaux de grande ampleur (santé, développement des métiers du secteur tertiaire, etc.). Or, à l'échelle de la population entière, cet effet, pourtant peu important sur un plan individuel, devient un moteur de croissance pour les QI du groupe dans son entier. Les gènes sont dominants pour prédire les différences individuelles entre les personnes adultes sur une même génération (études sur les jumeaux) et les effets de ces variations génétiques sont accentués par l'environnement. L'environnement et non pas la génétique expliquerait ainsi les différences observées entre les générations[142].
Différences entre groupes
La question des différences d'intelligence entre groupes de sexe et entre groupes ethniques fait l'objet de controverses. La nature exacte, l'ampleur et l'origine des différences observées restent débattues dans la littérature scientifique.
Point de vue exprimé en 1996 par une task force de l'American Psychological Association
À la suite de la controverse déclenchée par le livre The Bell Curve (1994), l'APA a réuni une task force afin d'émettre un avis sur l'état des connaissances concernant les différences cognitives entre les groupes de sexe et entre les groupes ethniques, publié en 1996 dans American Psychologist[19]. La task force, composée de onze chercheurs en psychologie américains choisis par l'APA dont trois signataires d'une tribune de soutien à The Bell Curve, a d'abord émis un rapport en 1995 puis cette synthèse en 1996, tous deux intitulés « Intelligence: Knowns and Unknowns (en) ».
Différences liées au sexe selon la task force
Les batteries standardisées conçues pour mesurer le QI comme les échelles de Wechsler, le K-ABC et d'autres, sont conçues de telle sorte qu'il n'y ait pas de différence entre garçons et filles ou hommes et femmes aux résultats généraux. Il arrive que des études indiquent des différences de QI liées aux sexes, mais généralement ces résultats sont inconstants et les différences observées restent très faibles.
En revanche, il existe des différences liées au sexe sur certains des tests qui composent la batterie. Certains tests n'indiquent aucune différence entre sexe masculin et féminin, d'autres indiquent de légères différences, et d'autres encore montrent des différences larges et consistantes. Les tests mesurant les habiletés visuo-spatiales, telles que la rotation mentale d'une image ou la poursuite d'un objet bougeant dans l'espace, favorisent les individus de sexe masculin. Les tests sur les quantités favorisent les filles avant la puberté, puis les hommes après la puberté. Les hommes ont aussi un avantage dans les tâches de raisonnement sur les problèmes mécaniques et de proportions. Certaines tâches verbales favorisent les individus de sexe féminin. Ainsi la production de synonymes et la fluence verbale favorisent les filles et femmes. Les filles et femmes ont également de meilleurs scores aux tâches liées à la lecture, composition écrite et orthographe. Les tâches de mémoire tendent à favoriser aussi les individus de sexe féminin mais les résultats varient en fonction des types de mémoire testée.
Les raisons de ces différences ont été largement étudiées et débattues. Elles sont en partie sociales et en partie biologiques. Les différences sociales sont liées aux attentes concernant les genres qui influencent les activités des enfants, par exemple leurs jeux et loisirs. Des différences biologiques sont également démontrées. Des différences de morphologie cérébrale sont notables selon les sexes et liées à des différences sur le plan de la résolution de problèmes cognitifs. Les hormones sexuelles ont également une influence sur certaines habiletés cognitives. Les interactions entre les différences biologiques et sociales sont complexes et continuent à faire l'objet d'études. Ainsi, les différences entre structures cérébrales peuvent être à l'origine de différences cognitives, mais elles peuvent aussi résulter des stimulations de l'environnement.
Différences liées au groupe ethnique selon la task force
Aux États-Unis, depuis que les tests d'intelligence ont été mis au point, les différences entre groupes ethniques ont été largement documentées, commentées et interprétées. Une controverse sur les rapports entre origine ethnique et intelligence a opposé quelques psychologues qui interprétaient les différences comme étant d'origine génétique, aux psychologues qui attribuaient les différences observées entre groupes ethniques à des causes sociales.
La plupart des psychologues s'accordent sur le fait que les conditions socio-économiques expliquent en grande partie les différences observées entre groupes ethniques. La pauvreté est associée à de multiples problèmes qui influencent le développement intellectuel de l'enfant, tels que la malnutrition, le manque de suivi médical prénatal, le manque de ressources et de stimulations intellectuelles. La pauvreté n'explique pas entièrement les différences observées. Des variables sociales sont également en jeu. Aux États-Unis, les enfants élevés dans des minorités discriminées montrent également moins d'optimisme, moins d'espoir de voir leurs efforts scolaires leur offrir des récompenses. Il est également observé que les jeunes d'un groupe discriminé ne souhaitent pas ressembler aux personnes du groupe majoritaire, pour des raisons d'identité culturelle, et peuvent rejeter la réussite scolaire qui, selon eux, est associée aux comportements et aux valeurs de la majorité[171].
Différences liées au sexe selon les méta-analyses et revues de la littérature les plus récentes
Selon une revue de la littérature publiée en 2014 dans Trends in Cognitive Science cosignée par Diane Halpern, ancienne présidente de l'APA, corédactrice du rapport de la task force de 1996 et chercheuse soutenant l'existence de différences cognitives d'origine biologique, les différences entre les sexes dans les capacités cognitives sont changeantes selon les époques, augmentant pour certaines et diminuant pour d'autres, et varient selon les pays[172].
Pour ce qui est des capacités en mathématiques, les deux auteurs soulignent que « si les recherches menées dans les années 1979 et 1980 suggéraient l'existence alarmante d'un rapport de 1 à 13 entre filles et garçons parmi les élèves américains ayant un talent exceptionnel en mathématiques, ce ratio est descendu ces dernières années à 1 à 2-4 » selon les études. Ils estiment que désormais, « les performances moyennes aux tests de mathématiques tendent à être petites ou inexistantes, quoiqu'on trouve plus de garçons que de filles parmi ceux qui sont très performants (par exemple les 1 % meilleurs) dans la plupart des pays, mais pas dans tous », et que ces différences ne varient pas de manière systématique selon la sous-discipline (ex : géométrie versus algèbre). De meilleures performances moyennes masculines sont trouvées « dans certaines tâches spatiales mais pas toutes », la plus grande concernant la rotation mentale en 3D, avec un d de Cohen d'environ 0.5 à 1 écart-type selon eux.
Pour les capacités verbales, ils jugent que des données récentes amènent à reconsidérer la conclusion qu'il y a peu de différences, citant une étude de 2010 indiquant que les filles étaient meilleures que les garçons dans la totalité des 75 pays considérés, avec un d de Cohen supérieur à 0,36 dans 55 % des pays (maximum = 0,65).
Pour les tâches de mémorisation, ils estiment qu'il existe un avantage petit à moyen en faveur des femmes mais sur certaines tâches seulement.
Concernant les différences parfois trouvées chez de très jeunes enfants, ils jugent que les résultats sont complexes, montrant des différences dans un sens ou l'autre selon la tâche employée pour le test. À ce sujet, les auteurs soulignent que les différences dans la rotation mentale très précoces parfois trouvées souffrent de défauts de réplication. Ils estiment également que bien qu'elles soient souvent interprétées comme reflétant des différences cérébrales innées, les différences entre les sexes émergeant tôt dans l'enfance n'ont pas nécessairement une cause biologique, signalant par exemple que le sex ratio parmi les enfants très bons à des tests mathématiques en maternelle est « inversé chez les enfants latinos, ce qui indique des effets précoces de la famille et de la culture », et qu'à cet âge les capacités cognitives sont déjà influencées par des différences de vécu. Concernant l'origine des différences observées, les auteurs estiment « probable » que l'exposition à des niveaux différents d'androgènes joue un rôle, relevant toutefois que les données disponibles ne permettent pas d'éclaircir ce point. Ils se prononcent en faveur d'un modèle « biopsychosocial » selon lequel des prédispositions comportementales en moyennes différentes amèneraient les enfants à pratiquer en moyenne des activités différentes, ces différences seraient renforcées par l'environnement social du fait de la prégnance des stéréotypes de sexe, et cela conduirait finalement à créer des différences cognitives.
Selon une revue de la littérature publiée en 2016 par Janet Hyde dans Current Opinion in Neurobiology, les méta-analyses les plus récentes indiquent que les performances moyennes à des tests mathématiques ne diffèrent pas selon le sexe chez les enfants comme chez les adultes, que la fluence verbale est en moyenne un peu meilleure chez les filles et femmes (taille d'effet mesurée par le d de Cohen = 0,33) mais qu'il n'y a pas de différence moyenne dans les capacités rédactionnelles ni dans la compréhension d'un texte écrit, et que les performances à des tests de rotation mentale en 3D sont en moyenne meilleures chez les garçons et hommes (d de Cohen = 0,51 dans la plus récente méta-analyse)[173]. Elle souligne que ces différences varient selon les études et pourraient avoir évolué dans le temps, et estime que la différence observée pour la rotation 3D pourrait résulter de l'absence d'activités permettant de développer cette capacité chez tous les enfants dans les programmes scolaires.
Selon une revue systématique de la littérature sur les différences filles-garçons dans le développement du langage publiée en 2018 dans Neuropsychologia, les données indicatrices d'une différence entre les sexes dans le développement du langage sont de portée limitée, et lorsqu'une différence est observée elle interagit souvent avec divers facteurs tels que l'âge et la tâche langagière testée[174]. Selon les auteurs, l'ampleur de la différence entre la trajectoire développementale des filles et celle des garçons dans ce domaine est moindre que ce qu'on a longtemps pensé, et les données disponibles suggèrent que des différences existent à certains âges et non à d'autres en raison d'un développement plus précoce des filles. Les auteurs estiment que des recherches sont nécessaires pour améliorer la compréhension de l'origine de ces différences.
Moyens d'améliorer l'intelligence et le QI chez l'adulte

Les sections précédentes ont indiqué que l'intelligence est en grande partie fonction des stimulations de l'environnement et que ces stimulations ont un impact tout au long de la vie. Le choix[réf. nécessaire] de poursuivre une scolarité de qualité, le choix de sa carrière, le choix des activités non professionnelles, le choix de poursuivre des formations durant la vie adulte, de faire de nouveaux apprentissages, le choix du cercle social (à commencer par le partenaire, les amis), les choix relatifs au maintien d'une bonne santé physique (évitement des toxiques), tous ces éléments ont un impact sur les habiletés cognitives comme l'enrichissement du vocabulaire et des connaissances mais également la prévention du déclin cognitif résultant du vieillissement[170],[19].
D'autres moyens plus spécifiques ont été considérés pour tenter d'améliorer l'intelligence humaine, soit au niveau individuel, soit au niveau du groupe, allant d'interventions biologiques aux entraînements cognitifs. Ces moyens sont souvent développés dans des buts commerciaux visant les individus désireux d'améliorer leurs propres performances intellectuelles ou cognitives (détails ci-après).
Des mouvements philosophiques cherchent aussi, de manière plus systématique, les moyens d'améliorer l'intelligence humaine. Le courant du transhumanisme, ainsi nommé par le biologiste Julian Huxley en 1968, cherche à améliorer la longévité humaine, la santé humaine et le potentiel humain y compris le potentiel cognitif[175]. Ce mouvement philosophique explore les possibilités et les conséquences du développement et de l'utilisation de biotechnologies visant à améliorer et à changer les capacités humaines et les aptitudes notamment intellectuelles. Il s'intéresse au potentiel de l'intelligence artificielle ainsi qu'aux formes de sélection et d'interventions qui pourraient améliorer l'espèce humaine considérée comme imparfaite[176],[177],[178]. L'eugénisme est une des solutions considérées par les transhumanistes mais également par les autres mouvements philosophiques qui veulent améliorer l'espèce humaine en influençant les traits héréditaires qui doivent passer aux futures générations, à travers différentes formes d'interventions[179]. Ces moyens présentent des limites et posent des problèmes éthiques importants développés dans les sections suivantes.
Moyens biologiques

Parce que l'intelligence semble être au moins en partie dépendante de la structure du cerveau et des gènes engagés dans le développement du cerveau, il a été proposé que le génie génétique pourrait être utilisé pour améliorer l'intelligence. Ce processus est parfois appelé soulèvement biologique ou provolution dans la science-fiction. Des expériences sur des souris ont démontré que la manipulation génétique peut résulter en une capacité supérieure dans l'apprentissage et la mémoire[180]. Sur les humains, les altérations génétiques posent des problèmes techniques et éthiques considérables. Les manipulations génétiques sur l'embryon humain, menant à des changements transmissibles aux futures générations, sont approuvées en 2017 aux États-Unis par un panel de spécialistes de la santé, uniquement dans des conditions très spécifiques relatives aux maladies de Huntington, de Tay-Sachs ou de thalassémie bêta. Il ne s'agit pas d'altérer le code génétique humain pour améliorer des performances, une pratique que les mêmes spécialistes recommandent d’interdire[181].
Sur le plan de l'environnement biologique, certaines substances améliorent ou sont supposées améliorer l'intelligence ou d'autres fonctions mentales : les nootropes. Ces médicaments souvent créés à des fins thérapeutiques, sont utilisés à des fins d'amélioration des performances, par exemple par les étudiants. Ces utilisations présentent plusieurs dangers pour la santé[182].
Entraînements
Entraîner son cerveau pour améliorer certaines de ses habiletés mentales est une pratique très ancienne. La première tentative connue date du Ve siècle av. J.-C., avec la méthode des lieux, un procédé mnémotechnique qui aurait été élaboré par le poète grec Simonide de Céos[183],[184],[185]. Les tentatives d'augmenter le QI avec des exercices pour le cerveau aboutissent à des augmentations de performances dans les compétences entraînées par les exercices en question — par exemple de la mémoire de travail. Cependant, ces résultats ne semblent pas se généraliser à l'augmentation de l'intelligence en tant que telle[186]. En 2008, un document de recherche affirmait que la pratique intensive d'une tâche de mémoire de travail pendant plusieurs semaines (dual n-back) semble augmenter l'intelligence fluide (Gf) mesurée par des tests d'intelligence standards[187]. Cette constatation a reçu une certaine attention dans les médias et la psychologie populaire, y compris un article dans Wired[188]. Cependant, une critique de l'article a remis en question la méthodologie de l'expérience, notamment le manque d'uniformité dans les tests utilisés pour évaluer le contrôle des groupes[189].
Avec le développement des jeux vidéo, des jeux d'entraînement du cerveau se sont multipliés. Les études scientifiques cependant invalident leur effet sur les habiletés cognitives[183].
Problèmes éthiques posés
Dans l'Histoire, les personnes souffrant de déficiences intellectuelles ou présentant des tableaux cliniques qui évoquent la déficience intellectuelle, comme les sourds, ont souvent fait l'objet de discrimination, persécutions, meurtres, abandons durant l'enfance ou stérilisations forcées à l'adolescence ou à l'âge adulte. Durant le Troisième Reich, le programme Aktion T4 et le programme d'« euthanasie » des enfants visent à tuer les adultes et enfants présentant des handicaps mentaux dans un contexte d'eugénisme défendu par l'idéologie nazie. Or, en 1946, le procès des Médecins et les enquêtes qui l'ont entouré révèlent que des centaines de médecins et soignants ont participé au programme[190]. Ce procès donne lieu à la création de nouvelles directives éthiques : le Code de Nuremberg, qui sera suivi de la Déclaration d'Helsinki, texte de référence éthique fondamental et international pour les médecins et chercheurs conduisant des recherches sur l'humain[191]. Les efforts conscients visant à influencer l'intelligence soulèvent des questions d'éthique médicale qui relèvent de ces textes. En particulier, le consentement libre et éclairé du participant est essentiel. Mais les développements rapides des techniques et connaissances de la neurobiologie de l'intelligence posent des questions éthiques nouvelles. Elles portent en particulier sur le respect de la vie privée et sur l'accès équitable aux techniques améliorant l'intelligence[192].
Dans le domaine de la recherche sur l'intelligence, les questions éthiques sont particulièrement importantes car elle a été, historiquement, détournée à des fins racistes[193],[194]. Aux États-Unis, la perception de cette recherche est assez négative, dans le grand public mais également chez les chercheurs[194],[192]. Selon les neurobiologistes de l'intelligence, Jeremy Gray et Paul Thompson, les recherches ou débats sur les différences entre groupes ethniques posent, par exemple, de nombreux problèmes éthiques qui n'ont pas tous été résolus car l'éthique dans ce domaine s'intéresse surtout aux différences individuelles dans les groupes plutôt qu'entre les groupes. Ce manque de clarté peut expliquer une réticence des scientifiques à s'engager dans ce type de recherches[192].
Intelligence émotionnelle
_2.jpg)
En 1990, Peter Salovey et John Mayer proposent le terme « intelligence émotionnelle » pour décrire « l'habileté d'une personne à reconnaître, à utiliser, à comprendre et à gérer ses propres émotions et celles des autres »[195],[196] et débutent des travaux expérimentaux pour valider cette notion[197]. Ce concept est popularisé dès 1995 par un ouvrage de Daniel Goleman à destination du grand public[198]. Goleman propose que l'intelligence émotionnelle se compose de la compétence personnelle (conscience de soi, maîtrise de soi, motivation) et de la compétence sociale (empathie, aptitudes sociales)[195].
Le concept fait l'objet de nombreuses recherches, car il complète utilement la notion d'intelligence purement psychométrique ou cognitive, dont les psychologues connaissent les limites. Salovey et Mayer, ainsi que Caruso mettent au point des batteries de tests permettant d'évaluer cette intelligence : le test d'intelligence émotionnelle Mayer-Salovey-Caruso (MSCEIT en anglais, voir Mayer-Salovey-Caruso Emotional Intelligence Test (en)) et l'échelle multifactorielle d'intelligence émotionnelle. Leur approche repose sur l'idée que l'intelligence émotionnelle est multifactorielle et comprend la faculté de percevoir les émotions, d'utiliser les émotions pour mieux réfléchir, de comprendre et de gérer les émotions[199].
Leurs études du début des années 2000 indiquent que leurs tests ont une bonne validité écologique en étant corrélés à certaines réussites sociales, indépendamment de l'intelligence verbale ou des facteurs de personnalité décrits par le modèle des Big Five[199].
Intelligence collective et facteur c
Une récente compréhension scientifique de l'intelligence collective, définie comme la capacité d'un groupe à effectuer un large éventail de tâches[200], étend les domaines de recherche sur l'intelligence humaine à la recherche en appliquant les mêmes méthodes et concepts aux groupes. La définition, la mise en œuvre opérationnelle et les méthodes sont similaires à l'approche psychométrique de l'intelligence générale individuelle[25].
De même, la recherche sur l'intelligence collective vise à découvrir un facteur c expliquant les différences entre les performances des groupes et les causes relatives aux structures des groupes ou à leur composition[201].
Dans la fiction
Intelligence surhumaine
Plusieurs ouvrages et films imaginent la forme d'une intelligence au-delà des capacités humaines et les conséquences pour un individu qui en serait doté :
- Des fleurs pour Algernon (titre original : Flowers for Algernon), un roman de science-fiction de Daniel Keyes publié en 1966 et qui considéré comme un classique de la science-fiction.
- Le Cobaye (The Lawnmower Man), un film américain réalisé par Brett Leonard et sorti en 1992.
- La nouvelle Comprends (Understand) du recueil La Tour de Babylone (titre original : Stories of Your Life and Others) de l'écrivain américain Ted Chiang publié en 2002.
Notes et références
- (en) Cet article est partiellement ou en totalité issu de l’article de Wikipédia en anglais intitulé « Human intelligence » (voir la liste des auteurs).
- (en) Cet article est partiellement ou en totalité issu de l’article de Wikipédia en anglais intitulé « Environment and intelligence » (voir la liste des auteurs).
- ↑ (en) D. C. Geary, « The origin of mind: Evolution of brain, cognition, and general intelligence. », American Psychological Association, (présentation en ligne).
- 1 2 Lieberman 2011, p. 580-587.
- ↑ Lieberman 2011, p. 528.
- ↑ Lieberman 2011, p. 612-613.
- ↑ (en) JoAnne Brown, The Definition of a Profession : The Authority of Metaphor in the History of Intelligence Testing, 1890-1930, Princeton University Press, , 225 p. (ISBN 1400820782, lire en ligne).
- 1 2 3 4 5 6 7 8 9 10 11 12 13 14 15 16 17 18 19 20 21 22 23 24 25 26 27 Boake 2002.
- 1 2 3 4 5 6 7 8 9 10 (en) David Wechsler, « The psychometric tradition: Developing the wechsler adult intelligence scale », Contemporary Educational Psychology, vol. 6, no 2, , p. 82–85 (DOI 10.1016/0361-476X(81)90035-7, présentation en ligne).
- ↑ Eysenck 2000, p. 737-744..
- 1 2 3 4 5 6 Harris et Butterworth 2002, p. 8-12.
- ↑ Harris et Butterworth 2002, p. 10.
- 1 2 Jacques Lautrey, « Cent ans après Binet : quoi de neuf sur l'intelligence de l'enfant ? », Bulletin de psychologie, vol. Numéro 481, no 1, , p. 133-143 (ISSN 0007-4403, lire en ligne, consulté le ).
- ↑ (en) Michael D. Franzen, « The Wechsler Intelligence Scales for Children — the WISC-R, WISC-III, and WPPSI-R », dans Michael D. Franzen, Reliability and Validity in Neuropsychological Assessment. Critical Issues in Neuropsychology, Springer, (ISBN 978-1-4419-3341-6, lire en ligne), p. 71 à 89.
- ↑ (en) Michael D. Franzen, « The Wechsler memory scale and its revisions », dans Michael D. Franzen, Reliability and Validity in Neuropsychological Assessment. Critical Issues in Neuropsychology, Springer, (ISBN 978-1-4419-3341-6, lire en ligne), p. 203 à fin chapitre.
- ↑ (en) Michael D. Franzen, « The Wechsler Adult Intelligence Scale-revised and Weschtler Adult Intelligence Scale III », dans Michael D. Franzen, Reliability and Validity in Neuropsychological Assessment. Critical Issues in Neuropsychology, Springer, (ISBN 978-1-4419-3341-6, lire en ligne), p. 55 à fin chapitre.
- 1 2 3 4 5 Eysenck 2000, p. 738-739.
- 1 2 Papalia, Olds et Feldman 2010, p. 211.
- ↑ (en) Alan S. Kaufman et Nadeen L. Kaufman, Encyclopedia of Special Education, John Wiley & Sons, Inc., , 2833 p. (ISBN 9781118660584, présentation en ligne).
- 1 2 (en) Alan S. Kaufman, Susan Engi Raiford et Diane L. Coalson, Intelligent Testing with the WISC-V, John Wiley & Sons, , 832 p. (ISBN 9781119176732, lire en ligne).
- 1 2 3 4 5 6 7 8 9 10 11 Neisser et al. 1996.
- ↑ .
- ↑ (en) Sumithra Muthayya, Ans Eilander, Catherine Transler et Tinku Thomas, « Effect of fortification with multiple micronutrients and n−3 fatty acids on growth and cognitive performance in Indian schoolchildren: the CHAMPION (Children's Health and Mental Performance Influenced by Optimal Nutrition) Study », The American Journal of Clinical Nutrition, vol. 89, no 6, , p. 1766–1775 (ISSN 0002-9165 et 1938-3207, PMID 19369376, DOI 10.3945/ajcn.2008.26993, lire en ligne, consulté le ).
- ↑ (en) David M. Geary, The Origin of the Mind : Evolution of Brain, Cognition, and General Intelligence, Washington, DC, American Psychological Association (APA), , 458 p. (ISBN 1-59147-181-8, OCLC 217494183).
- ↑ (en) M.J. Ree et J.A. Earles, « Intelligence Is the Best Predictor of Job Performance », Current Directions in Psychological Science, vol. 1, no 3, , p. 86–89 (DOI 10.1111/1467-8721.ep10768746).
- ↑ (en) E. Delen, F. Kaya et N. Ritter, « Test review: Test of Comprehensive Nonverbal Intelligence-2 (CTONI-2) », Journal of Psychoeducational Assessment, vol. 30, no 2, , p. 209–213 (DOI 10.1177/0734282911415614).
- 1 2 3 (en) Charles Spearman, « "General intelligence", objectively determined and measured », American Journal of Psychology, vol. 15, no 2, , p. 201–293 (ISSN 0002-9556, lire en ligne, consulté le ).
- 1 2 3 4 5 6 7 8 9 10 11 12 (en) Kevin S. McGrew, « CHC theory and the human cognitive abilities project: Standing on the shoulders of the giants of psychometric intelligence research », Intelligence, vol. 37, no 1, , p. 1–10 (DOI 10.1016/j.intell.2008.08.004).
- 1 2 (en) B. Marshalek, D. F. Lohman et R. E. Snow, « The complexity continuum in the radex and hierarchical models of intelligence », Intelligence, vol. 7, no 2, , p. 107–127 (DOI 10.1016/0160-2896(83)90023-5).
- ↑ (en) Stephen Jay Gould, The Mismeasure of Man, Norton, .
- ↑ (en) H. D. Schlinger, « The Myth of Intelligence », The Psychological Record, vol. 53, no 1, , p. 15–33 (lire en ligne, consulté le ).
- ↑ (en) Han L. J. Van Der Maas, Conor V. Dolan, Raoul P. P. P. Grasman et Jelte M. Wicherts, « A dynamical model of general intelligence: The positive manifold of intelligence by mutualism », Psychological Review, vol. 113, no 4, , p. 842–861 (DOI 10.1037/0033-295x.113.4.842, lire en ligne, consulté le ).
- ↑ Flynn 2016, p. 119.
- ↑ (en) Dael Lee Wolfe, « Factor analysis to 1940 », Psychometric monographs, no 3, .
- ↑ (en) J. W. French, « The description of aptitude and achievement tests in terms of rotated factors. », Psychometric monographs., vol. 5, (résumé).
- ↑ (en) Ruth B. Ekstrom, John W. French et Harry H. Harman, « Cognitive Factors: Their Identification and Replication. », Multivariate Behavioral Research Monographs, (résumé).
- ↑ (en) John L. Horn, « Organization Of Abilities And The Development Of Intelligence », Psychological Review, vol. 75, no 3, (ISSN 0033-295X, résumé).
- ↑ (en) John Horn, « Measurement of intellectual capabilities: A review of theory », dans Woodcock-Johnson technical manual, (lire en ligne), p. 197-232..
- ↑ (en) John B. Carroll, Human Cognitive Abilities : A Survey of Factor-Analytic Studies, Cambridge University Press, , 832 p. (ISBN 9780521387125, lire en ligne).
- ↑ (en) John B. Carroll, « Human cognitive abilities: A critique », dans John J. McArdle & Richard W. Woodcock, Human cognitive abilities in theory and practice, New York/Hove, Taylor and Francis, , p. 5-24.
- ↑ (en) « Flanagan : Cross-Battery Assessment: A Pattern of Strengths and Weaknesses Approach to SLD Identification (SLD : Spécific Learning Disabilities) », nyasp.biz (New York association of school psychologists), (consulté le ).
- ↑ Flynn 2016, p. 133.
- ↑ (en) K.S. McGrew, « Analysis of the major intelligence batteries according a proposed comprehensive Gf-Gc framework », dans D.P. Flanaga, J.L. Genshaft et P.L. Harrison, Contemporary intellectuel assessment: Theories, tests, and issues, New York, Guilford, , p. 151-179.
- ↑ « Test KABC-II Batterie pour l'examen psychologique de l'enfant, deuxième édition. », sur ecpa.fr (consulté le ).
- ↑ (en) Kevin S. McGrew, Erica M. LaForte et Fredrick A. Schrank, Woodcock-Johnson IV Technical Manual, Illinois : Riverside, The Riverside Publishing Company, (lire en ligne [PDF]), p. 1-2.
- ↑ (en) Raymond Bernard Catell, « Chapter Six - Higher Stratum Ability Structure and the Investment Theory of Intelligence », dans Raymond Bernard Cattell, Intelligence : Its structure, growth and action., New York: North-Holland, Elsevier, , 693 p. (lire en ligne), p. 121 à fin chapitre.
- ↑ (en) J. L. Horn et R. B. Cattell, « Refinement and test of the theory of fluid and crystallized general intelligences », Journal of educational psychology, vol. 57, no 5, , p. 253–270 (DOI 10.1037/h0023816).
- ↑ (en) A. V. Kvist et J. E. Gustafsson, « The relation between fluid intelligence and the general factor as a function of cultural background: A test of Cattell's investment theory », Intelligence, vol. 36, no 5, , p. 422–436 (DOI 10.1016/j.intell.2007.08.004).
- 1 2 3 Flynn 2016, p. 131-132.
- ↑ (en) Raymond B. Cattell, Abilities : their structure, growth, and action., Boston, Houghton Mifflin, , 583 p. (ISBN 9780395042755).
- ↑ (en) Lex Borghams, Angela Lee Duckworth, James J. Heckmann et al., « The Economics and Psychology of Personality Traits », dans Thomas J. Kniesner et Bas ter Weel, Noncognitive Skills and Their Development: Special Issue of Journal of Human Resources, vol. 43, University of Wisconsin Press, (lire en ligne), p. 998.
- ↑ (en) P. L. Ackerman, « A theory of adult intellectual development: Process, personality, interests, and knowledge », Intelligence, vol. 22, no 2, , p. 227–257 (DOI 10.1016/S0160-2896(96)90016-1).
- 1 2 3 Flynn 2016, p. 134.
- ↑ (en) Phillip L. Ackerman et Eric D. Heggestad, « Intelligence, personality, and interests: Evidence for overlapping traits. », Psychological Bulletin, vol. 121, no 2, , p. 219–245 (ISSN 0033-2909, DOI 10.1037/0033-2909.121.2.219, lire en ligne, consulté le ).
- ↑ Papalia, Olds et Feldman 2010, p. 22-23.
- ↑ (en) Cecil R. Reynolds, Randy W. Kamphaus et Becky L. Rosenthal, Handbook of Clinical Child Neuropsychology, Springer US, coll. « Critical Issues in Neuropsychology », , 600 p. (ISBN 9781489968098 et 9781489968074, DOI 10.1007/978-1-4899-6807-4_12, présentation en ligne), p. 205–226.
- ↑ Jean Piaget, La naissance de l'intelligence chez l'enfant, , pdf (lire en ligne [PDF]).
- ↑ Jean Piaget, La Construction du Réel, .
- ↑ (en) D. Elkind (dir.) et J. Flavell (dir.), Studies in Cognitive Development : Essays in Honor of Jean Piaget, New York, Oxford University Press, .
- ↑ (en) Richard A. Weinberg, « Intelligence and IQ, Landmark Issues and Great Debates », American Psychologist, vol. 44, no 2, , p. 98–104 (DOI 10.1037/0003-066x.44.2.98).
- ↑ (en) R. F. Kitchener, « Piaget's epistemic subject and science education: Epistemological vs. Psychological issues », Science and Education, vol. 2, no 2, , p. 137–148 (DOI 10.1007/BF00592203, Bibcode 1993Sc&Ed...2..137K).
- ↑ (en) A. Demetriou, « Cognitive development », dans A. Demetriou, W. Doise et C. F. M. Van Lieshout, The Handbook of life-span developmental psychology, Londres, John Wiley & Sons, , 179-269 p..
- ↑ (en) A. Demetriou, A. Mouyi et G. Spanoudis, « The Development of Mental Processing », dans Richard M. Lerner et Willis F. Overton, The Handbook of Life-Span Development : Cognition, Biology, and Methods, vol. I, John Wiley & Sons, (DOI 10.1002/9780470880166.hlsd001010, présentation en ligne).
- ↑ (en) Georg W. Oesterdiekhoff, « Was Pre-Modern Man a Child? The Quintessence of the Psychometric and Developmental Approaches. », Intelligence, vol. 40, no 5, 2012/00/00 (ISSN 0160-2896, lire en ligne, consulté le ).
- 1 2 3 Flynn 2016, p. 145-147.
- ↑ (en) Malcolm Gladwell, « None of the Above », The New Yorker, (lire en ligne, consulté le ).
- 1 2 3 Flynn 2016, p. 140-142.
- ↑ (en) Robert Wood et Albert Bandura, « Impact of conceptions of ability on self-regulatory mechanisms and complex decision making. », Journal of Personality and Social Psychology, vol. 56, no 3, , p. 407–415 (ISSN 1939-1315 et 0022-3514, DOI 10.1037/0022-3514.56.3.407, résumé).
- ↑ (en) A Bandura, « Perceived self-efficacy in cognitive development and functioning », Educational psychologist, vol. 28, no 2, , p. 117–148 (DOI 10.1207/s15326985ep2802_3).
- ↑ Brigitte Guerrin, « Albert Bandura et son œuvre », Recherche en soins infirmiers, no 108, , p. 106–116 (ISSN 0297-2964, lire en ligne, consulté le ).
- ↑ (en) A. L. Duckworth et M. E.P. Seligman, « Self-Discipline Outdoes IQ in Predicting Academic Performance of Adolescents », Psychological Science, vol. 16, no 12, , p. 939–944 (DOI 10.1111/j.1467-9280.2005.01641.x, résumé).
- ↑ (en) R. Kelley et J Caplan, « How Bell Labs creates star performers », Harvard business review, vol. 71, no 4, (ISSN 0017-8012, résumé).
- ↑ (en) James J. Heckman, Jora Stixrud et Sergio Urzua, « The Effects of Cognitive and Noncognitive Abilities on Labor Market Outcomes and Social Behavior », Journal of Labor Economics, vol. 24, no 3, , p. 411–482 (ISSN 0734-306X, DOI 10.1086/504455, résumé).
- ↑ (en) James J. Heckman et Yona Rubinstein, « The Importance of Noncognitive Skills: Lessons from the GED Testing Program », The American Economic Review, vol. 91, no 2, , p. 145–149 (résumé).
- ↑ (en) P. Wood et P. Englert, « Intelligence compensation theory: A critical examination of the negative relationship between conscientiousness and fluid and crystallised intelligence », The Australian and New Zealand Journal of Organisational Psychology, vol. 2, , p. 19–29 (DOI 10.1375/ajop.2.1.19).
- ↑ (en) T. Chamorro-Premuzic et A. Furnham, « A possible model for explaining the personality–intelligence interface », British Journal of Psychology, vol. 95, , p. 249–264 (DOI 10.1348/000712604773952458).
- ↑ (en) J. Moutafi, A. Furnham et J. Crump, « Demographic and Personality Predictors of Intelligence: A study using the Neo Personality Inventory and the Myers-Briggs Type Indicator », European Journal of Personality, vol. 17, , p. 79–94 (DOI 10.1002/per.471).
- ↑ (en) J. Moutafi, A. Furnham et L. Paltiel, « Why is conscientiousness negatively correlated with intelligence?. », Personality and Individual Differences, vol. 37, no 5, , p. 1013–1022 (DOI 10.1016/j.paid.2003.11.010).
- ↑ (en) N. Brody, Intelligence, New York, Academic Press, , 2e éd..
- ↑ (en) A. L. Murray, W. Johnson, M. McGue et W. G. Iacono, « How are conscientiousness and cognitive ability related to one another? A re-examination of the intelligence compensation hypothesis », Personality and Individual Differences, vol. 70, , p. 17–22 (DOI 10.1016/j.paid.2014.06.014).
- 1 2 3 Flynn 2016, p. 136-140.
- ↑ (en) Linda Gottfredson, « Social Consequences of Group Differences in Cognitive Ability », dans C. E. Flores-Mendoza et R. Colom, Introducau a psicologia das diferencas individuais., ArtMed Publishers, (1re éd. 2004) (ISBN 8536314184, lire en ligne [PDF]), p. 4 et 5.
- ↑ Eysenck 2000, p. 740.
- ↑ (en) R.J. Sternberg, Beyond IQ : a triarchic theory of human intelligence, New York, Cambridge University Press, , 411 p. (ISBN 0-521-26254-2).
- ↑ Papalia, Olds et Feldman 2010, p. 213.
- ↑ (en) Robert J. Sternberg, Successfull intelligence, Simon & Schuster, , 312 p. (ISBN 978-0684814100).
- 1 2 Flynn 2016, p. 134-136.
- ↑ (en) N. Brody, « Construct validation of the Sternberg Triarchic Abilities Test: Comment and reanalysis », Intelligence, vol. 31, no 4, , p. 319–329 (DOI 10.1016/S0160-2896(01)00087-3).
- ↑ (en) N. Brody, « What Sternberg should have concluded », Intelligence, vol. 31, no 4, , p. 339–342 (DOI 10.1016/S0160-2896(02)00190-3).
- ↑ (en) L. Gottfredson, « Dissecting practical intelligence theory: Its claims and evidence », Intelligence, vol. 31, no 4, , p. 343–397 (DOI 10.1016/S0160-2896(02)00085-5).
- ↑ (en) L. Gottfredson, « On Sternberg's “Reply to Gottfredson” », Intelligence, vol. 31, no 4, , p. 415–424 (DOI 10.1016/S0160-2896(03)00024-2).
- ↑ (en) Alexandre Louria, Human brain and psychological processes., New York, Harper andRow, .
- ↑ (en) John Angus, « The Luria model of information processing », The Australian journal of Educational Technology, vol. 1, no 1, (lire en ligne [PDF], consulté le ).
- ↑ (en) A. R. Luria, The Working Brain : An Introduction to Neuropsychology, .
- ↑ (en) M. I. Kostyanaya et P. Rossouw, « Alexander Luria – life, research and contribution to neuroscience. », International Journal of Neuropsychotherapy, vol. 2, no 1, , p. 47-55 (DOI 10.12744/ijnpt.2013.0047-0055, lire en ligne, consulté le ).
- ↑ (en) J.P. Das, « A Better look at Intelligence », Current Directions in Psychology, vol. 11, no 1, , p. 28–32 (DOI 10.1111/1467-8721.00162).
- ↑ (en) J. P. Das, J. R. Kirby et R. F. Jarman, « Simultaneous and successive syntheses: An alternative model for cognitive abilities », Psychological Bulletin, vol. 82, , p. 87–103 (DOI 10.1037/h0076163).
- 1 2 (en) Jagannath Prasad Das, Jack A. Naglieri et John R. Kirby, Assessment of cognitive processes : The PASS theory of intelligence., Allyn & Bacon, , 236 p..
- 1 2 (en) Jagannath Prasad Das, « Three Faces of cognitive Processes: Theory, Assessment and Intervention : The Pass Model », dans Timothy Papadopoulos, Rauno K. Parrila et John R. Kirby, Cognition, Intelligence, and Achievement: A Tribute to J. P. Das, Elsevier, , 532 p. (lire en ligne), p. 26 à 30.
- ↑ (en) R. E. Jung et R. J. Haier, « The parieto-frontal integration theory (P-FIT) of intelligence: converging neuroimaging evidence », Behavioral and Brain Sciences, vol. 30, , p. 135–187 (DOI 10.1017/s0140525x07001185).
- ↑ (en) R. Colom, R. J. Haier, K. Head, J. Alvarez-Linera, M. A. Ouiroga, P. C. Shih et R. E. Jung, « Gray matter correlates of fluid, crystallized, and spatial intelligence: testing the P-FIT model », Intelligence, vol. 37, , p. 124–135 (DOI 10.1016/j.intell.2008.07.007).
- 1 2 3 4 Deary, Penke et Johnson 2010, p. 201-211.
- ↑ Deary, 2001, p. 45.
- 1 2 Deary, 2001, p. 47-49.
- ↑ (en) N. C. Andreasen, M. Flaum, V. Swayze et D. S. O'Leary, « Intelligence and brain structure in normal individuals », The American Journal of Psychiatry, vol. 150, no 1, , p. 130-134 (ISSN 0002-953X, PMID 8417555, DOI 10.1176/ajp.150.1.130, résumé).
- 1 2 3 4 Flynn 2016, p. 152-157.
- ↑ (en) Bogdan Draganski, Christian Gaser, Volker Busch et Gerhard Schuierer, « Neuroplasticity: Changes in grey matter induced by training », Nature, vol. 427, no 6972, , p. 311–312 (ISSN 0028-0836, DOI 10.1038/427311a, lire en ligne, consulté le ).
- ↑ (en) Joenna Driemeyer, Janina Boyke, Christian Gaser et Christian Büchel, « Changes in Gray Matter Induced by Learning—Revisited », PLOS One, Public Library of Science, vol. 3, no 7, (ISSN 1932-6203, PMID 18648501, PMCID PMC2447176, DOI 10.1371/journal.pone.0002669, lire en ligne, consulté le ).
- 1 2 Deary, 2001, p. 49-54.
- ↑ (en) Ian J. Deary, Alexander Weiss et G. David Batty, « Intelligence and Personality as Predictors of Illness and Death », Psychological Science in the Public Interest, vol. 11, no 2, , p. 53–79 (DOI 10.1177/1529100610387081, lire en ligne, consulté le ).
- 1 2 3 Ian J. Deary, « Introduction to the special issue on cognitive epidemiology », Intelligence, intelligence, health and death: The emerging field of cognitive epidemiology, vol. 37, no 6, , p. 517–519 (DOI 10.1016/j.intell.2009.05.001, lire en ligne, consulté le ).
- ↑ G. David Batty, Ian J. Deary et Linda Gottfredson, « Premorbid (early life) IQ and Later Mortality Risk: Systematic Review », Annals of Epidemiology, vol. 17, no 4, , p. 278–288 (DOI 10.1016/j.annepidem.2006.07.010, lire en ligne, consulté le ).
- ↑ Pascale Chavatte-Palmer et Anne Tarrade, « Programmation fœtale - chapitre 22 », dans Marie Saint-Dizier et Sylvie Chastant-Maillard, La reproduction animale et humaine, Versailles, Editions Quae, (ISBN 9782759222087, lire en ligne), p. 409-424.
- ↑ (en) Keith M. Godfrey et David JP Barker, « Fetal programming and adult health », Public Health Nutrition, vol. 4, no 2B, , p. 611–624 (DOI 10.1079/phn2001145).
- 1 2 (en) Susan D. Shenkin, John M. Starr et Ian J Deary, « Birth Weight and Cognitive Ability in Childhood: A Systematic Review », Psychological Bulletin, vol. 130, no 6, , p. 989–1013 (PMID 15535745, DOI 10.1037/0033-2909.130.6.989, résumé).
- ↑ (en) Zena Stein, Mervyn Susser, Gerhart Saenger et Francis Marolla, Famine and human development : The Dutch hunger winter of 1944-1945., New York, US, Oxford University Press, , 284 p. (ISBN 9780192690036).
- ↑ (en) Peter J. Morgane, Robert Austin-LaFrance, Joseph Bronzino, John Tonkiss et al., « Prenatal Malnutrition and Development of the Brain », Neuroscience and Biobehavioral Reviews, vol. 17, no 1, , p. 91–128 (PMID 8455820, DOI 10.1016/s0149-7634(05)80234-9).
- ↑ (en) Ernesto Pollitt, Kathleen S. Gorman, Patrice L. Engle et Reynaldo Martorell, « Early Supplementary Feeding and Cognition: Effects over Two Decades », Monographs of the Society for Research in Child Development, vol. 58, no 7, , i–118 (DOI 10.2307/1166162, résumé).
- 1 2 (en) CG Victora, R Bahl, AJ Barros et GV França, « Breastfeeding in the 21st century: epidemiology, mechanisms, and lifelong effect. », Lancet (London, England), vol. 387, no 10017, (ISSN 0140-6736, DOI 10.1016/S0140-6736(15)01024-7, résumé).
- ↑ (en) M.S. Krame, F. Aboud, E. Mironova et al., « Breastfeeding and Child Cognitive Development New Evidence From a Large Randomized Trial », Archives of General Psychiatry, vol. 65, no 5, , p. 578–84 (PMID 18458209, DOI 10.1001/archpsyc.65.5.578).
- ↑ (en) E. L. Mortensen, K. F. Michaelsen, S. A. Sanders et al., « The association between duration of breastfeeding and adult intelligence », JAMA, vol. 287, no 18, , p. 2365 (DOI 10.1001/jama.287.18.2365).
- ↑ (en) Geof Der, David G. Batty et Ian J. Deary, « Effect of breast feeding on intelligence in children: prospective study, sibling pairs analysis, and meta-analysis », BMJ, vol. 333, no 7575, , p. 945 (PMID 17020911, PMCID 1633819, DOI 10.1136/bmj.38978.699583.55).
- ↑ (en) Lisa G. Smithers, Michael S. Kramer et John W. Lynch, « Effects of Breastfeeding on Obesity and Intelligence », JAMA Pediatrics, vol. 169, no 8, (ISSN 2168-6203, DOI 10.1001/jamapediatrics.2015.0175, résumé).
- ↑ (en) Martin Falkingham, Asmaa Abdelhamid, Peter Curtis et Susan Fairweather-Tait, « The effects of oral iron supplementation on cognition in older children and adults: a systematic review and meta-analysis », Nutrition Journal, vol. 9, , p. 4 (ISSN 1475-2891, DOI 10.1186/1475-2891-9-4, résumé).
- ↑ (en) Ans Eilander, Tarun Gera, Harshpal S Sachdev et Catherine Transler, « Multiple micronutrient supplementation for improving cognitive performance in children: systematic review of randomized controlled trials », The American Journal of Clinical Nutrition, vol. 91, no 1, , p. 115–130 (ISSN 0002-9165, DOI 10.3945/ajcn.2009.28376, lire en ligne, consulté le ).
- ↑ (en) A. Eilander, D.C. Hundscheid, S.J. Osendarp et al., « Effects of n-3 long chain polyunsaturated fatty acid supplementation on visual and cognitive development throughout childhood: A review of human studies », Prostaglandins, Leukotrienes and Essential Fatty Acids, vol. 76, no 4, , p. 189–203 (ISSN 0952-3278, DOI 10.1016/j.plefa.2007.01.003, résumé).
- ↑ (en) S. Gillette Guyonnet, G. Abellan Van Kan, S. Andrieu et al., « IANA task force on nutrition and cognitive decline with aging », The Journal of Nutrition, Health & Aging, vol. 11, no 2, , p. 132-153 (lire en ligne, consulté le ).
- ↑ (en) Martha C. Morris, « Nutritional determinants of cognitive aging and dementia », Proceedings of the Nutrition Society, vol. 71, no 1, , p. 1–13 (ISSN 1475-2719 et 0029-6651, DOI 10.1017/S0029665111003296, résumé).
- ↑ Papalia, Olds et Feldman 2010, p. 53.
- ↑ (en) H. Hu, M.M. Tellez-Rojo, D. Bellinger et al., « Fetal lead exposure at each stage of pregnancy as a predictor of infant mental development. », Environ Health Perspectives, National Institute of Environmental Health Science, vol. 114, no 11, , p. 1730–1735 (lire en ligne, consulté le ).
- ↑ (en) L. Schnaas, S.J. Rothenberg, M.F. Flores et al., « Reduced intellectual development in children with prenatal lead exposure. », Environ Health Perspectives, National Institute of Environmental Health Science, vol. 114, no 5, , p. 791–797 (lire en ligne, consulté le ).
- ↑ (en) S. Tong, P. Baghurst, A. McMichael, M. Sawyer et J. Mudge, « Lifetime exposure to environmental lead and children’s intelligence at 11–13 years : the Port Pirie cohort study. », BMJ, vol. 313, no 198, , p. 1569–75 (lire en ligne, consulté le ).
- ↑ (en) D. L. Johnson, Paul R. Swank, Virgil M. Howie et al., « Breast feeding and children's intelligence », Psychological Reports, vol. 79, no 3, , p. 1179–85 (DOI 10.2466/pr0.1996.79.3f.1179, lire en ligne [PDF], consulté le ).
- ↑ (en) Collectif, « Fetal alcohol syndrome », Paediatric Child Health, vol. 7, no 3, , p. 181-195 (lire en ligne, consulté le ).
- ↑ (en) Ann Pytkowicz Streissguth, Helen M. Barr et Paul D. Sampson, « IQ at Age Four in Relation to Maternal Alcohol Use and Smoking during Pregnancy. », Developmental Psychology, vol. 25, no 1, , p. 3-11 (résumé).
- 1 2 (en) Kathy Wipper et Carmen Rassmussen, chap. XVI « Cognitive Deficits in Individual Prenatally exposed to Alcohol », dans Leo Sher (directeur de publication), Research on the Neurobiology of Alcohol Use Disorders, Nova Publishers, , 372 p. (lire en ligne).
- 1 2 Papalia, Olds et Feldman 2010, p. 54.
- ↑ Papalia, Olds et Feldman 2010, p. 53-54.
- 1 2 Papalia, Olds et Feldman 2010, p. 8.
- 1 2 Harris et Butterworth 2002, p. 12-13.
- ↑ (en) Patricia H. Miller, Theories of Developmental Psychology, New York, Worth Publishers, , 4e éd. (1re éd. 1989), 544 p. (ISBN 071672846X).
- ↑ (en) W. Johnson, C. E. Brett et I. J. Deary, « The pivotal role of education in the association between ability and social class attainment: A look across three generations », Intelligence, vol. 38, , p. 55–65 (DOI 10.1016/j.intell.2009.11.008).
- ↑ (en) C. N. Brinch et T. A. Galloway, « Schooling in adolescence raises IQ scores », Proceedings of the National Academy of Sciences USA, vol. 109, , p. 425–30 (PMID 22203952, PMCID 3258640, DOI 10.1073/pnas.1106077109, lire en ligne [PDF]).
- 1 2 3 Flynn 2016, p. 147-151.
- 1 2 (en) B. Sauce et L.D. Matzel, « The paradox of intelligence: Heritability and malleability coexist in hidden gene-environment interplay », Psychological bulletin, , p. 26 (lire en ligne).
- ↑ (en) Ken Richardson et Michael C. Jones, « Why genome-wide associations with cognitive ability measures are probably spurious », New Ideas in Psychology, vol. 55, , p. 35–41 (DOI 10.1016/j.newideapsych.2019.04.005, lire en ligne).
- ↑ Gabriel Wahl, chap. 3698 « À la recherche des gènes de l'intelligence », dans Gabriel Wahl, Les enfants intellectuellement précoces, Presses universitaires de France, coll. « Que sais-je ? », (lire en ligne), p. 26.
- ↑ (en) S. Desrivières, A. Lourdusamy, C. Tao et R. Toro, « Single nucleotide polymorphism in the neuroplastin locus associates with cortical thickness and intellectual ability in adolescents », Molecular Psychiatry, vol. 20, no 2, , p. 263–274 (DOI 10.1038/mp.2013.197, lire en ligne).
- ↑ Agnès Roux, « Intelligence : une des origines génétiques identifiée », Futura, (consulté le ).
- 1 2 (en) S. Desrivières, A. Lourdusamy, C. Tao et al., « Single nucleotide polymorphism in the neuroplastin locus associates with cortical thickness and intellectual ability in adolescents », Molecular Psychiatry, vol. 20, no 2, , p. 263–274 (DOI 10.1038/mp.2013.197, lire en ligne, consulté le ).
- ↑ (en) Dena B. Dubal, Jennifer S. Yokoyama, Lei Zhu et al., « Life extension factor klotho enhances cognition », Cell Reports, vol. 7, no 6, , p. 1065–1076 (DOI 10.1016/j.celrep.2014.03.076, lire en ligne, consulté le ).
- ↑ (en) « The 3% solution », The Economist, (consulté le ).
- ↑ « La huntingtine, un rôle clé dans le développement cérébral », Inserm, (consulté le ).
- ↑ (en) Monia Barnat, Julien Le Friec, Caroline Benstaali et Sandrine Humbert, « Huntingtin-Mediated Multipolar-Bipolar Transition of Newborn Cortical Neurons Is Critical for Their Postnatal Neuronal Morphology », Neuron, vol. 93, no 1, , p. 99–114 (DOI 10.1016/j.neuron.2016.11.035, lire en ligne, consulté le ).
- ↑ (en) R. Grant Steen, « Evidence of cognitive plasticity in Humans : Genes and Language Ability - Language Impairment », dans R. Grant Steen, Human Intelligence and Medical Illness : Assessing the Flynn Effect, Springer Science+Business Media, , 218 p. (lire en ligne), p. 92 à 94.
- ↑ (en) Simon E. Fisher, Gary F. Marcus1, « FOXP2 in focus : what can genes tell us about speech and language? », Trends in Cognitive Sciences, vol. 7, no 6, , p. 257-262 (lire en ligne [PDF], consulté le ).
- ↑ « Evolution of the human brain », sur www.yourgenome.org (consulté le ).
- ↑ (en) S. L. Spain, I. Pedroso et ... et M.A. Simpson, « A genome-wide analysis of putative functional and exonic variation associated with extremely high intelligence », Molecular Psychiatry, vol. 21, no 8, , p. 1145–1151 (DOI 10.1038/mp.2015.108, lire en ligne).
- ↑ (en) D. Zabaneh, E. Krapohl et ... et R. Plomin, « A genome-wide association study for extremely high intelligence », Molecular Psychiatry, vol. 23, no 5, , p. 1226–1232 (DOI 10.1038/mp.2017.121, lire en ligne).
- ↑ (en) « Hundreds of genes linked to intelligence in global study », The University of Edinburgh, (consulté le ).
- 1 2 (en) W. D. Hill, R. E. Marioni, O. Maghzian et S. J. Ritchie, « A combined analysis of genetically correlated traits identifies 187 loci and a role for neurogenesis and myelination in intelligence », Molecular Psychiatry, (ISSN 1476-5578, DOI 10.1038/s41380-017-0001-5, lire en ligne, consulté le ).
- 1 2 (en) James J. Lee, Robbee Wedow, Aysu Okbay et Edward Kong, « Gene discovery and polygenic prediction from a 1.1-million-person GWAS of educational attainment », Nature genetics, vol. 50, no 8, , p. 1112–1121 (DOI 10.1038/s41588-018-0147-3, lire en ligne).
- ↑ D. Posthuma, E. J. de Geus et D. I. Boomsma, « Perceptual speed and IQ are associated through common genetic factors », Behavior Genetics, vol. 31, no 6, , p. 593–602 (ISSN 0001-8244, PMID 11838536, lire en ligne, consulté le ).
- ↑ (en) W. David Hill, Ruben C. Arslan, Charley Xia et Michelle Luciano, « Genomic analysis of family data reveals additional genetic effects on intelligence and personality », Molecular Psychiatry, (ISSN 1476-5578, DOI 10.1038/s41380-017-0005-1, lire en ligne, consulté le ).
- ↑ (en) Or Zuk, Eliana Hechter, Shamil R. Sunyaev et Eric S. Lander, « The mystery of missing heritability: Genetic interactions create phantom heritability », Proceedings of the National Academy of Sciences, vol. 109, no 4, , p. 1193–1198 (PMCID PMC3268279, DOI 10.1073/pnas.1119675109, lire en ligne).
- ↑ Leon J. Kamin et Arthur S. Goldberger, « Twin Studies in Behavioral Research: A Skeptical View », Theoretical Population Biology, vol. 61, no 1, , p. 83–95 (ISSN 0040-5809, DOI 10.1006/tpbi.2001.1555, lire en ligne).
- ↑ (en) Jay Joseph, The Trouble with Twin Studies : a reassessment of twin research in the social and behavioral sciences, New York (N.Y.), Routledge, , 321 p. (ISBN 978-1-315-74838-2).
- ↑ Marcus W. Feldman et Sohini Ramachandran, « Missing compared to what? Revisiting heritability, genes and culture », sur royalsocietypublishing.org/, Philophical Transactions Royal Society B., (DOI 10.1098/rstb.2017.0064).
- ↑ (en) Davies, Tenesa, Payton et Yang, « Genome-wide association studies establish that human intelligence is highly heritable and polygenic », Molecular Psychiatry, vol. 16, no 10, , p. 996–1005 (PMID 21826061, PMCID 3182557, DOI 10.1038/mp.2011.85).
- ↑ (en) Zhenyu Jia, « Controlling the Overfitting of Heritability in Genomic Selection through Cross Validation », Scientific Reports, vol. 7, no 1, (DOI 10.1038/s41598-017-14070-z, lire en ligne).
- ↑ (en) Alexander I. Young, Michael L. Frigge, Daniel F. Gudbjartsson et Gudmar Thorleifsson, « Relatedness disequilibrium regression estimates heritability without environmental bias », Nature Genetics, vol. 50, no 9, , p. 1304–1310 (DOI 10.1038/s41588-018-0178-9, lire en ligne).
- 1 2 3 Flynn 2016.
- ↑ (en) John U Ogbu, Minority education and caste : The American system in a cross-cutlural perspective, New York, Academic press, .
- ↑ (en) David I. Miller et Diane F. Halpern, « The new science of cognitive sex differences », Trends in Cognitive Sciences, vol. 18, no 1, , p. 37–45 (DOI 10.1016/j.tics.2013.10.011, lire en ligne).
- ↑ (en) Janet S Hyde, « Sex and cognition: gender and cognitive functions », Current Opinion in Neurobiology, vol. 38, , p. 53–56 (DOI 10.1016/j.conb.2016.02.007, lire en ligne).
- ↑ (en) Andrew Etchell, Aditi Adhikari, Lauren S. Weinberg et Ai Leen Choo, « A systematic literature review of sex differences in childhood language and brain development », Neuropsychologia, vol. 114, , p. 19–31 (DOI 10.1016/j.neuropsychologia.2018.04.011, lire en ligne).
- ↑ (en) Julian Huxley, « Transhumanism », Journal of Humanistic Psychology, 8e série, vol. 1, , p. 73-76. (lire en ligne).
- ↑ (en-US) « Humanity+ » Transhumanist FAQ », sur humanityplus.org (consulté le ).
- ↑ Xavier Dijon, « Introduction - Un discernement nécessaire », dans Xavier Dijon, Le transhumanisme, , 128 p. (lire en ligne), p. 4 à 6.
- ↑ Luc Ferry et Béatrice Jousset-Couturier, « Qu'est-ce que le transhumanisme ? », dans Luc Ferry et Béatrice Jousset-Couturier, Le transhumanisme : Faut-il avoir peur de l'avenir ?, Editions Eyrolles, , 188 p. (lire en ligne).
- ↑ (en) F. Osborn, « Development of a Eugenic Philosophy », American Sociological Review, vol. 2, no 3, , p. 389–397 (DOI 10.2307/2084871, JSTOR 2084871).
- ↑ (en) Ya-Ping Tang, Eiji Shimizu, Gilles R. Dube et al., « Genetic enhancement of learning and memory in mice », Nature, vol. 401, no 6748, , p. 63-69 (PMID 10485705, DOI 10.1038/43432, lire en ligne [PDF], consulté le ).
- ↑ (en) Amy Harmon, « Human Gene Editing Receives Science Panel’s Support », The New York Times, (ISSN 0362-4331, lire en ligne, consulté le ).
- ↑ (en) Steven Rose, « How smart are smart drugs? », The Lancet, vol. 372, no 9634, (ISSN 0140-6736 et 1474-547X, DOI 10.1016/S0140-6736(08)61058-2, lire en ligne, consulté le ).
- 1 2 Sonia Lorant-Royer, Veronika Spiess, Julien Goncalves et Alain Lieury, « Programmes d'entraînement cérébral et performances cognitives : efficacité, motivation... ou « marketing » ? De la Gym-Cerveau au programme du Dr Kawashima... », Bulletin de psychologie, vol. Numéro 498, no 6, , p. 531–549 (ISSN 0007-4403, lire en ligne, consulté le ).
- ↑ Marie-Josée Couchaere, « Le long cheminement des théories de la mémoire : 1. La mémoire artificielle », dans Marie-Josée Couchaere, Le développement de la mémoire : outils pour une mémoire dynamisée, ESF éditeur, , 223 p. (lire en ligne), p. 26.
- ↑ (en) Kathleen M. Galotti, « Mnemonics and Memory Codes », dans Kathleen M. Galotti, Cognitive Psychology : In and Out of the Laboratory, Cengage Learning, , 501 p. (lire en ligne), p. 251.
- ↑ (en) Zach Shipstead, Thomas S. Redick et Randall W. Engle, « Does Working Memory Training Generalize? », Psychologica Belgica, vol. 50, nos 3–4, , p. 245–276 (DOI 10.5334/pb-50-3-4-245, lire en ligne [PDF]).
- ↑ (en) Sushane M. Jaeggi, Martin Buschkuehl, John Jonides et Walter J. Perrig, « Improving fluid intelligence with training on working memory », Proceedings of the National Academy of Sciences, New York, Edward E. Smith, Columbia University, vol. 105, no 19, (DOI 10.1073/pnas.0801268105, lire en ligne, consulté le ).
- ↑ (en) Alexis Madrigal, « Forget Brain Age: Researchers Develop Software That Makes You Smarter », Wired, (lire en ligne).
- ↑ (en) D. E. Moody, « Can intelligence be increased by training on a task of working memory? », Intelligence, vol. 37, no 4, , p. 327–328 (DOI 10.1016/j.intell.2009.04.005, résumé).
- ↑ (en) M. I. Shevell, « Neurosciences in the Third Reich: from Ivory Tower to death camps », The Canadian Journal of Neurological Sciences. Le Journal canadien des sciences neurologiques, vol. 26, no 2, , p. 132–138 (ISSN 0317-1671, PMID 10352874, résumé).
- ↑ (en) « World Medical Association Declaration of Helsinki », JAMA, vol. 310, no 20, (ISSN 0098-7484, DOI 10.1001/jama.2013.281053, lire en ligne, consulté le ).
- 1 2 3 (en) Jeremy R. Gray et Paul M. Thompson, « Neurobiology of intelligence: science and ethics », Nature Reviews Neuroscience, vol. 5, no 6, , p. 471–482 (ISSN 1471-0048, DOI 10.1038/nrn1405, résumé).
- ↑ (en) Nancy Ordover, American Eugenics : Race, Queer Anatomy, and the Science of Nationalism, U of Minnesota Press, , 332 p. (ISBN 9780816635597, lire en ligne).
- 1 2 (en) Ian J. Deary, « Human intelligence differences: a recent history », Trends in Cognitive Sciences, vol. 5, no 3, (ISSN 1364-6613 et 1879-307X, DOI 10.1016/S1364-6613(00)01621-1, lire en ligne, consulté le ).
- 1 2 Papalia, Olds et Feldman 2010, p. 329-330.
- ↑ (en) Peter Salovey et John D. Mayer, « Emotional Intelligence », Imagination, Cognition and Personality, vol. 9, no 3, , p. 185–211 (DOI 10.2190/dugg-p24e-52wk-6cdg, résumé).
- ↑ (en) John Mayer, Maria DiPaolo et Peter Salovey, « Perceiving Affective Content in Ambiguous Visual Stimuli: A Component of Emotional Intelligence », Journal of Personality Assessment, vol. 54, no 3, , p. 772–781 (ISSN 1532-7752 et 0022-3891, DOI 10.1207/s15327752jpa5403&4_29, lire en ligne, consulté le ).
- ↑ Daniel Goleman, L’Intelligence émotionnelle : Comment transformer ses émotions en intelligence, Paris, Robert Laffont, , 421 p..
- 1 2 (en) Peter Salovey, John D. Mayer, David Caruso et Paulo N. Lopes, Measuring emotional intelligence as a set of abilities with the Mayer-Salovey-Caruso Emotional Intelligence Test., American Psychological Association, (ISBN 1557989885, DOI 10.1037/10612-016, présentation en ligne), p. 251–265.
- ↑ (en) Anita Williams Woolley, Christopher F. Chabris, Alex Pentland, Nada Hashmi et Thomas W. Malone, « Evidence for a Collective Intelligence Factor in the Performance of Human Groups », Science, vol. 330, no 6004, , p. 686–688 (ISSN 0036-8075, PMID 20929725, DOI 10.1126/science.1193147, résumé).
- ↑ (en) Anita Williams Woolley, Ishani Aggarwal et Thomas W. Malone, « Collective Intelligence and Group Performance », Current Directions in Psychological Science, vol. 24, no 6, , p. 420–424 (ISSN 0963-7214, DOI 10.1177/0963721415599543, résumé).
Voir aussi
Bibliographie
Ouvrages consultés
: document utilisé comme source pour la rédaction de cet article.
- (en) U. Neisser, G. Boodoo, T. J., J. Bouchard et A. W. Boykin, « Intelligence: Knowns and unknowns », American Psychologist, vol. 51, no 2, , p. 77–101 (ISSN 0003-066X, DOI 10.1037/0003-066X.51.2.77, lire en ligne [PDF], consulté le ).

- (en) Ian Deary, Intelligence, a very short introduction, New York, Oxford University Press, , 132 p. (ISBN 978-0-19-289321-5).

- (en) Michael W. Eysenck, Psychology, a student handbook, Hove, Royaume-Uni, Psychology Press, , 979 p. (ISBN 0-86377-474-1).

- (en) Corwin Boake, « From the Binet–Simon to the Wechsler–Bellevue: Tracing the History of Intelligence Testing », Journal of Clinical and Experimental Neuropsychology, vol. 24, no 3, , p. 383–405 (ISSN 1380-3395, PMID 11992219, DOI 10.1076/jcen.24.3.383.981, lire en ligne, consulté le ).

- (en) James R. Flynn, Does your family make you smarter? Nature, Nurture and Human Autonomy, Cambridge, Cambridge University Press, , 258 p. (ISBN 978-1-316-60446-5).

- (en) Margaret Harris et Georges Butterworth, Developmental psychology, a student handbook, Hove/New York, Psychogy Press, Taylor & Francis, , 394 p. (ISBN 9781841691923, lire en ligne).

- (en) Ian J. Deary, Lars Penke et Wendy Johnson, « The neuroscience of human intelligence differences », Nature Reviews Neuroscience, vol. 11, no 3, , p. 201–211 (ISSN 1471-003X, DOI 10.1038/nrn2793, lire en ligne, consulté le ).

- (en) Daniel E. Lieberman, The evolution of the human head, Cambridge, Massachusetts / Londres, The Belknap Press of Harvard University Press, , 756 p. (ISBN 978-0-674-04636-8, lire en ligne).

- Diane E. Papalia, Sally W. Olds et Ruth D. Feldman (trad. de l'anglais), Psychologie du développement humain, 7ème édition, Montréal, Groupe de Boeck, , 482 p. (ISBN 9782804162887, lire en ligne).
.
Ouvrages d'approfondissement
Ouvrages ou articles de synthèse par ordre de date de première publication :
- Alfred Binet et Théodore Simon, « Méthodes nouvelles pour le diagnostic du niveau intellectuel des anormaux. », L'année psychologique, 1904 vol. 11, p. 191-244 (DOI 10.3406/psy.1904.3675, lire en ligne).
- (en) Lewis Madison Terman et Maude A. Merrill, Measuring intelligence : A guide to the administration of the new revised Stanford-Binet tests of intelligence, Boston (MA), Houghton Mifflin, coll. « Riverside textbooks in education », (OCLC 964301).
- (en) Richard Herrnstein et Charles Murray, The Bell Curve : Intelligence and Class Structure in American Life, Free Press, , 845 p..
- (en) James Flynn, What Is intelligence? : beyond the Flynn effect, Cambridge, Royaume-Uni ; New York, Cambridge University Press, , 216 p. (ISBN 9780521880077)
- N. J. Mackintosh, IQ and Human Intelligence, Oxford, Oxford University Press, , 458 p. (ISBN 978-0-19-958559-5, lire en ligne).
- Earl Hunt, Human Intelligence, Cambridge, Cambridge University Press, , 532 p. (ISBN 978-0-521-70781-7).
- Richard E. Nisbett, Joshua Aronson, Clancy Blair et William Dickens, « Intelligence: new findings and theoretical developments », American Psychologist, vol. 67, , p. 130–159 (ISSN 0003-066X, PMID 22233090, DOI 10.1037/a0026699, lire en ligne, consulté le ).
- (en) The Cambridge Handbook of Intelligence, Cambridge, Cambridge University Press, , 984 p. (ISBN 9780521739115).
- Laurent Alexandre, La guerre des intelligences. Intelligence artificielle versus intelligence humaine, Paris/72-La Flèche, JC Lattès, , 250 p. (ISBN 978-2-7096-6084-6, lire en ligne)
Articles connexes
Liens externes
- (en) Projet Human Cognitive Abilities de la Fondation Woodcock-Muñoz (WMF HCA) : base de données de Carroll pour les chercheurs.
- Portail des neurosciences
- Portail de la psychologie
