Tréhalulose
| Tréhalulose | |
| |
| Identification | |
|---|---|
| Nom UICPA | α-D-glucosylpyranosyl-1,1-D-fructofuranose |
| Synonymes |
1-O-alpha-D-Glucopyranosyl-D-fructose |
| No CAS | (β-pyranose) |
| No ECHA | 100.051.967 |
| No CE | 257-183-7[1] |
| PubChem | |
| SMILES | |
| InChI | |
| Apparence | Solide amorphe |
| Propriétés chimiques | |
| Formule | C12H22O11 [Isomères] |
| Masse molaire[2] | 342,296 5 ± 0,014 4 g/mol C 42,11 %, H 6,48 %, O 51,42 %, |
| Propriétés physiques | |
| T° fusion | 90 à 95 °C[3] |
| Solubilité | Soluble dans l'eau[4]. |
| Unités du SI et CNTP, sauf indication contraire. | |
Le tréhalulose est un sucre naturellement présent dans les miellats et miels de miellat.
Source
Le tréhalulose est naturellement présent dans la nature, comme le mélézitose c'est un sucre typiquement produit par les insectes. Il est synthétisé et excrété par ceux-ci quand le saccharose est en excès par rapport au besoin métabolique de l'insecte[4]. Il constitue 50 % des glucides du miellat de l'aleurode du tabac (Bemisia tabaci)[3].
Structure et propriétés
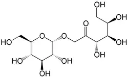
Le tréhalulose est un diholoside isomère du saccharose et de l'isomaltulose, tous trois sont constitués d'une unité de glucose et d'une unité de fructose, seule la nature de la liaison osidique change : une liaison α(1→6) pour l'isomaltulose, α(1→2) pour le saccharose et α(1→1) pour le tréhalulose.
La formule chimique du tréhalulose est C12H22O11 et sa masse molaire de 342,30 g/mol.
Le tréhalulose est un solide amorphe (non cristallin), ce qui le rend très soluble dans l'eau[4].
Le tréhalulose est moins sucré que le saccharose avec un pouvoir sucrant estimé entre 0,4[4] et 0,7[5].
Le tréhalulose est supposé ne pas favoriser la carie dentaire, il est considéré comme peu ou pas cariogène[6].
Métabolisme
Le tréhalulose a une absorption dans le sang plus lente que le saccharose[6].
Utilisation
Le tréhalulose ayant des propriétés physiques et édulcorantes similaire au saccharose, tout en étant non cariogène et ne provoquant pas de pic de glucose[6], celui-ci est un candidat pour le remplacement du saccharose dans des applications alimentaires telles que les confitures et les confiseries[4].
Production
Le tréhalulose est un produit secondaire issu de la production industrielle de l'isomaltulose par l'action d'enzymes sucrose isomérases (issues de la Protaminobacter rubrum) sur le saccharose[6].
Le tréhalulose peut être obtenu avec un plus grand rendement (environ 90 %) en utilisant d'autres enzymes sucrose isomérase issues de souche d’Agrobacterium radiobacter[5] et de Pseudomonas mesoacidophila[7].
Notes et références
- ↑ (en) ChemIDplus, « Trehalulose - RN: 51411-23-5 », sur chem.sis.nlm.nih.gov, U.S. National Library of Medicine (consulté le )
- ↑ Masse molaire calculée d’après « Atomic weights of the elements 2007 », sur www.chem.qmul.ac.uk.
- 1 2 (en) Peter M. Collins, Dictionary of carbohydrates, Boca Raton, CRC Press, , 1282 p. (ISBN 0-8493-3829-8), p. 538
- 1 2 3 4 5 (en) T Nishimoto, H Chaen, S Fukuda & T Miyake, « US Patent 5824521 -Saccharide composition containing trehalulose, its preparation and uses », US Patent, sur www.patentgenius.com, (consulté le )
- 1 2 (en) S Ravaud, H Watzlawick, R Haser, R Mattes & N Aghajaria, « Expression, purification, crystallization and preliminary X-ray crystallographic studies of the trehalulose synthase MutB from Pseudomonas mesoacidophila MX-45 », Acta Crystallogr Sect F Struct Biol Cryst Commun, vol. 61, no 1, , p. 100–103 (DOI 10.1107/S1744309104030623)
- 1 2 3 4 (en) S Ravaud, H Watzlawick, R Haser, R Mattes & N ghajari, « Overexpression, purification, crystallization and preliminary diffraction studies of the Protaminobacter rubrum sucrose isomerase SmuA », Acta Cryst., no F62, , p. 74-76 (DOI 10.1107/S1744309105041758, résumé)
- ↑ (en) Y Nagai, T Sugitani & K Tsuyuki, « Characterization of alpha-glucosyltransferase from Pseudomonas mesoacidophila MX-45 », Biosci Biotechnol Biochem., vol. 58, no 10, , p. 1789-93 (résumé)
Voir aussi
Liens externes
- (en) Glycan: G01400 trehalulose www.Genome.net
- (en) trehalulose sur la National Library of Medicine - Medical Subject Headings
- Portail de la chimie
- Portail de la biochimie
