Synthèse de dioxindole de Martinet

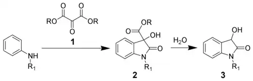
La synthèse de dioxindole de Martinet est une série de réactions organiques permettant de synthétiser des dioxindoles (3) à partir de d'anilines N-substituées, et d'esters d' l'acide mésoxalique (1)[1],[2].

Mécanisme réactionnel

The Martinet dioxindole synthesis
The Martinet dioxindole synthesis

Le chauffage de l'aniline N-substituée en présence d'un ester de l'acide mésoxalique (1) permet de produire le dioxyindole (2) encore substitué par un groupe ester. Le chauffer en présence d'eau permet d'hydrolyser la dernière fonction ester, et permet une décarboxylation pour produite le dioxindole désiré (3).

Notes et références

  1. Guyot, A.; Martinet, J. Compt. Rend. 1913, 156, 1625.
  2. Sumpter, Ward C. "The Chemistry of Oxindole" Chem. Rev. 1945, 37, 443–479. (DOI 10.1021/cr60118a003)

Voir aussi

  • icône décorative Portail de la chimie