Sels de Katritzky
Les sels de Katritzky se caractérisent par la présence de trois groupements phényles attachés en positions 2, 4 et 6 d’un noyau pyrylium (en) ou pyridinium.
Les groupes phényles confèrent une stabilité aux sels et les rendent efficaces comme groupes partants, par exemple dans des réactions d’estérification et de couplage. Ils sont généralement utilisés dans les réactions de substitutions nucléophiles. De plus, ces sels sont très efficaces en tant qu'accepteurs d'électrons.
Les sels de pyridinium sont utilisés dans plusieurs synthèses organiques. On les retrouve dans la synthèse de dérivés pyridiniques variés comme les dihydropyridines, les tétrahydropyridines, les pipéridines et les indolizines[1] Ils sont capables de subir des ouvertures de cycles conduisant à la formation de diènes conjugués et de diamine.
Le chimiste anglo-américain Alan Katritzky (en)[2] a eu l’idée d’utiliser ces sels de pyridinium comme intermédiaires afin de convertir des amines primaires en iodures[3].
Structure des sels de Katritzky
Les sels de Katritzky sont des composés dérivés de pyrylium et de pyridinium substitués en ortho et en para par 3 groupements phényles. Ceux-ci sont représentés à la Figure 1. Ce sont des composés cationiques dont le contre ion est généralement l’anion tétrafluoroborate. Néanmoins l’utilisation d’anion perchlorate produit un sel qui cristallise parfois plus rapidement. Le seul désavantage de ce contre ion provient des dangers[4] associés à son utilisation.

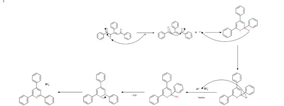
Synthèse
Préparation des sels de Katritzky
Les sels de triphénylpyrylium sont obtenus à partir du 1,3,5-Triphénylpent-2ène-1,5-dione par un mécanisme d’élimination avec une base. Le produit de cette réaction réagit avec l’acide tétrafluoroborique dans le toluène pour subir une déshydration et conduire au sel de triphénylpyrylium (Figure 2)

Le sel de triphénylpyridinium est obtenu à partir du sel de triphénylpyrylium en le faisant réagir avec une amine primaire dans de l’éthanol suivant la réaction schématisée à la Figure 3.

Application en synthèse organique
Les sels de Katritzky sont de bons accepteurs d’électrons utilisés dans de nombreuses synthèses organiques comme bon groupe partant
Réaction avec l’hydrazine
Les sels de Katritzky peuvent être utilisés en synthèse pour former plusieurs produits retrouvés dans les médicaments : les pyrazolines, les pyrazoles, les diazépines et les sels de N-méthylaminopyridium.

Synthèse d’ester
Les sels de Katritzky peuvent être utilisés pour convertir une amine primaire en ester en 2 étapes : la réaction de l’amine et du tétrafluoroborate 2,4,6-triphénylpyrylium produit le sel de pyridinium N-substitué correspondant suivie de sa pyrolyse dans le benzoate de sodium ou l’acétate de sodium.

C-alkylation d’un anion nitronate
Ils sont impliqués dans des processus radicalaires pour alkyler les anions nitronates. Les anions nitronates sont des nucléophiles utilisés dans les réactions d’alkylation. Ils possèdent un atome d’azote chargé négativement qui va attaquer les carbones électrophiles. Ce sont aussi des bons intermédiaires synthétiques

Bon électrophile dans les couplages croisés catalysés par des métaux dans la réaction de Suzuki Miyaura
Le but de cette réaction est d’activer la liaison C-N d’un dérivé amine avec un alkyle en faisant un couplage croisé catalysé avec un métal et un acide boronique.

Applications : Utilisation dans la synthèse des acides aminés non naturels (UAA)
Les sels de Katritzky peuvent intervenir dans la synthèse des acides aminés non naturels ou acides aminés non protéinogènes, les UAA (Unnatural Amino Acids). Il en existe 140.
Les UAA sont utilisés dans l'assemblage peptidique des médicaments (par exemple, le Cobicistat)[10].
Plusieurs voies de synthèse sont proposées pour obtenir différents acides aminés non naturels, ou UAA. En effet, les sels de Katritzky fournissent un intermédiaire radicalaire qui permet différentes synthèses [10] :
- Par couplage croisé Suzuki-Miyaura à partir de lysine, qui peut s'effectuer dans des conditions douces[9].
- Par alkylation photo-assistée incluant un photocatalyseur[11].
- Par réaction d'addition de Michael[12].
Selon la méthode synthétique choisie, différentes conditions peuvent permettre d'obtenir un meilleur rendement, telles que l'ajout de réducteur en solution.
Exemple de voie de synthèse d'un dérivé de glycine[13] :
Dans le mécanisme proposé, le complexe formé entre les esters de N-arylglycines et les sels de Katritzky favorise un transfert d'électrons sous irradiation UV (395-400 nm). Ce transfert d'électrons engendre la formation de radicaux, qui subissent un couplage croisé. Cette réaction est cependant réalisée dans des conditions douces afin d'éviter le clivage des groupements protecteurs (Figure 9)[10]


Dangers du sel de triphénylpyrylium[4]
N°CAS : 448-61-3
Le sel de triphénylpyrylium est sensible à l’humidité et doit être conservé sous gaz. Il ne doit pas être en contact avec des agents oxydants. Il est très toxique par voie orale, cutanée ou encore par inhalation. Il est conseillé de le manipuler avec des gants et des protections pour les vêtements et le visage. C'est un sel soluble dans l’acide trifluroacétique mais insoluble dans l’eau.
Notes et références
- ↑ (en) Teresa Damiano, Daniel Morton et Adam Nelson, « Photochemical transformations of pyridinium salts: mechanistic studies and applications in synthesis », Organic & Biomolecular Chemistry, vol. 5, no 17, , p. 2735 (ISSN 1477-0520 et 1477-0539, DOI 10.1039/b706244n, lire en ligne, consulté le ).
- ↑ (en) « Biographie d'Alan Katritzky », Royal Society
- ↑ (en) Namek F. Eweiss, Alan R. Katritsky, Pai-Lin NIE et Christopher A. Ramsden, « The Conversion of Amines into Iodides », Synthesis, vol. 1977, no 09, , p. 634–635 (ISSN 0039-7881 et 1437-210X, DOI 10.1055/s-1977-24510, lire en ligne, consulté le ).
- 1 2 « Tétrafluoroborate de 2,4,6-triphénylpyrylium, 97 %, Thermo Scientific Chemicals » (consulté le )
- 1 2 (en) Alan R. Katritzky, Amornsr i Chermprapai et Ranjan C. Patel, « The preparation of primary alkyl and benzyl fluorides from the corresponding primary amines », Journal of the Chemical Society, Perkin Transactions 1, , p. 2901 (ISSN 0300-922X et 1364-5463, DOI 10.1039/p19800002901, lire en ligne, consulté le ).
- ↑ (en) D. J. Harris, G.Y.-P. Kan, T. Tschamber et V. Snieckus, « Reaction of pyrylium salts with hydrazine and methylhydrazine. Concerning the scope of the 1,2(4H)-diazepine synthesis », Canadian Journal of Chemistry, vol. 58, no 5, , p. 494–500 (ISSN 0008-4042 et 1480-3291, DOI 10.1139/v80-079, lire en ligne, consulté le ).
- ↑ (en) Urban Gruntz, Alan R. Katritzky, David H. Kenny et Marcos C. Rezende, « Pyridines as leaving groups in synthetic transformations: conversion of amines into esters », Journal of the Chemical Society, Chemical Communications, no 20, , p. 701 (ISSN 0022-4936, DOI 10.1039/c39770000701, lire en ligne, consulté le ).
- ↑ (en) Alan R. Katritzky, George De Ville et Ranjan C. Patel, « Carbon-alkylation of simple nitronate anions by N-substituted pyridiniums », Tetrahedron, vol. 37, , p. 25–30 (ISSN 0040-4020, DOI 10.1016/0040-4020(81)85037-5, lire en ligne, consulté le ).
- 1 2 (en) Corey H. Basch, Jennie Liao, Jianyu Xu et Jacob J. Piane, « Harnessing Alkyl Amines as Electrophiles for Nickel-Catalyzed Cross Couplings via C–N Bond Activation », Journal of the American Chemical Society, vol. 139, no 15, , p. 5313–5316 (ISSN 0002-7863 et 1520-5126, DOI 10.1021/jacs.7b02389, lire en ligne, consulté le ).
- 1 2 3 (en) Ali Munaim Yousif, Stefania Colarusso et Elisabetta Bianchi, « Katritzky Salts for the Synthesis of Unnatural Amino Acids and Late‐Stage Functionalization of Peptides », European Journal of Organic Chemistry, vol. 26, no 12, (ISSN 1434-193X et 1099-0690, DOI 10.1002/ejoc.202201274, lire en ligne, consulté le ).
- ↑ (en) Letian Zhang, Yibin Wang, Jiabin Shen et Hao Xu, « Platform for 3-fluoro-3-hydroxyoxindoles: photocatalytic C–N cross-coupling and deaminative oxidation–fluorohydroxylation », Organic Chemistry Frontiers, (ISSN 2052-4129, DOI 10.1039/d4qo00285g, lire en ligne, consulté le ).
- ↑ (en) Soumitra Agasti, Frédéric Beltran, Emma Pye et Nikolas Kaltsoyannis, « A catalytic alkene insertion approach to bicyclo[2.1.1]hexane bioisosteres », Nature Chemistry, vol. 15, no 4, , p. 535–541 (ISSN 1755-4330 et 1755-4349, DOI 10.1038/s41557-023-01135-y, lire en ligne, consulté le ).
- ↑ (en) Chao Wang, Rupeng Qi, Hongxiang Xue et Yuxuan Shen, « Visible‐Light‐Promoted C(sp3)−H Alkylation by Intermolecular Charge Transfer: Preparation of Unnatural α‐Amino Acids and Late‐Stage Modification of Peptides », Angewandte Chemie International Edition, vol. 59, no 19, , p. 7461–7466 (ISSN 1433-7851 et 1521-3773, DOI 10.1002/anie.201914555, lire en ligne, consulté le ).
- Portail de la chimie