Saison 2018-2019 du Stade toulousain
|
Saison 2018-2019 du
Stade toulousain | ||||||||
| ||||||||
| Généralités | ||||||||
|---|---|---|---|---|---|---|---|---|
| Stade(s) | Stade Ernest-Wallon (19 500 places) |
|||||||
| Président | Didier Lacroix | |||||||
| Entraîneur(s) | Ugo Mola Régis Sonnes William Servat (avants) |
|||||||
| Capitaine(s) | Julien Marchand | |||||||
| Résultats | ||||||||
| Top 14 | Vainqueur 1er de la phase régulière avec 98 pts (21V-2N-3D) |
|||||||
| Coupe d'Europe | Demi-finale 2e de la poule avec 21 pts (5V-0N-1D) |
|||||||
| Meilleur(s) marqueur(s) |
Sofiane Guitoune (16 essais) | |||||||
| Meilleur(s) réalisateur(s) |
Thomas Ramos (329 points) | |||||||
| Maillots | ||||||||
|
||||||||
| Chronologie | ||||||||
| ||||||||
| Dernière mise à jour : 25/02/2024. | ||||||||
Cette page présente la saison 2018-2019 du Stade toulousain en Top 14 et en Coupe d'Europe. La saison régulière est marquée par une série de records battus ou égalés. Ainsi, le club retrouve les premières places du classement et un jeu enthousiasment historiquement produit par le club[1]. Premier à l'issue de la phase régulière, l'équipe se qualifie directement pour les demi-finales. Vainqueur de La Rochelle en demi, le Stade toulousain retrouve l'ASM Clermont Auvergne en finale. Victorieux grâce notamment à deux essais de Yoann Huget, Toulouse remporte son 20e bouclier de Brennus.
En coupe d'Europe, le Stade toulousain sort d'une poule compliquée (le champion en titre le Leinster, les Wasps et Bath) et défait en quart de finale le Racing 92. Toulouse retrouve les demi-finales de la compétition pour la première fois depuis 2011 où l'équipe s'incline face au Leinster.
Transferts
Inter-saison 2018
| Joueur | Poste | Nationalité sportive | Nature | Provenance |
|---|---|---|---|---|
| Régis Sonnes | Entraineur | Transfert | ||
| Pierre Gayraud | Deuxième ligne | Transfert | ||
| Alban Placines | Deuxième ligne | Transfert | ||
| Jerome Kaino | Troisième ligne aile, troisième ligne centre, deuxième ligne | Transfert | ||
| Pita Ahki | Centre | Transfert | ||
| Théo Belan | Centre | Transfert | ||
| Pierre Fouyssac | Centre | Transfert | ||
| Maxime Mermoz | Centre | Transfert |
| Joueur | Poste | Nationalité sportive | Nature | Destination |
|---|---|---|---|---|
| Pierre-Henry Broncan | Entraineur | Transfert | ||
| Daniel Mienie | Pilier | Transfert | ||
| David Roumieu | Talonneur | Retraite | - | |
| Yoann Maestri | Deuxième ligne | Transfert | ||
| Talalelei Gray | Troisième ligne aile | Transfert | ||
| Semi Kunatani | Troisième ligne aile | Transfert | ||
| Jean-Marc Doussain | Demi de mêlée | Transfert | ||
| Tristan Tedder | Demi d'ouverture | Prêt | ||
| Yann David | Centre | Transfert | ||
| Gaël Fickou | Centre | Transfert | ||
| Florian Fritz | Centre | Retraite | - | |
| Wandile Mjekevu | Ailier | Transfert | ||
| Jarrod Poï | Centre | Prêt () |
Jokers
| Nom | Poste | Nationalité sportive | Joker de | Nature du joker | Dernier club | Mois d'arrivée | Prolongation |
|---|---|---|---|---|---|---|---|
| Pierre Pagès | Demi de mêlée | Antoine Dupont | Médical | ||||
| Richie Arnold | Deuxième ligne | - | Joueur additionnel | ||||
| Sam Matavesi | Talonneur | Julien Marchand | Médical |
Équipe professionnelle
Effectif
L'effectif professionnel de la saison 2018-2019 compte dix-huit joueurs formés au club. Quinze joueurs internationaux figurent dans l'équipe dont huit français.
En , Jarrod Poï est prêté au Biarritz olympique jusqu'à la fin de la saison[2]. Le prêt est ensuite prolongé pour la saison 2019-2020[3].
Capitaine
Après le départ à la retraite de Florian Fritz à la retraite en 2018, Julien Marchand est nommé capitaine du Stade toulousain[4]. Il est parfois suppléé par Iosefa Tekori ou François Cros. Après la blessure de Marchand dans le Tournoi des Six Nations 2019, Jerome Kaino prend le brassard[5].
Débuts professionnels
| Nom | Poste | Date | Adversaire | Stade | Âge | Compétition | Matches (points) |
|---|---|---|---|---|---|---|---|
| Matthis Lebel | Ailier | Montpellier HR | GGL Stadium | 19 ans | Top 14 | 7 (15)[6] | |
| Guillaume Marchand | Talonneur | Montpellier HR | GGL Stadium | 20 ans | Top 14 | 14 (10)[7] | |
| David Ainuu | Pilier | Montpellier HR | GGL Stadium | 19 ans | Top 14 | 6 (0)[8] | |
| Alexandre Manukula | Deuxième ligne | ASM Clermont Auvergne | Stade Marcel-Michelin | 22 ans | Top 14 | 1 (0)[9] | |
| Paulo Tafili | Pilier | Montpellier HR | Stade Ernest-Wallon | 23 ans | Top 14 | 6 (0)[10] |
Staff
Le staff d'encadrement de l'équipe professionnelle du Stade toulousain est celui-ci :
Entraîneurs
| Nom | Rôle | Nationalité sportive | Ancien Club | Ancienne fonction | Ancien joueur du club | Année d'arrivée |
|---|---|---|---|---|---|---|
| Ugo Mola | Entraîneur principal, responsable des arrières | Entraîneur principal | 2015 | |||
| Régis Sonnes | Entraîneur principal, responsable des avants et de la défense | Entraîneur | 2018 | |||
| William Servat | Entraîneur adjoint, responsable de la mêlée | Joueur | 2012 | |||
| Jean Bouilhou | Entraîneur assistant, responsable de la touche | Joueur | 2016 | |||
| Clément Poitrenaud | Entraîneur assistant, responsable des skills | Joueur | 2017 | |||
| Laurent Thuéry | Entraîneur assistant, responsable du laboratoire de jeu | Analyste vidéo | 2015 | |||
| Jérôme Cazalbou | Manager du haut niveau | Joueur | 2018 |
Staff médical
- Philippe Izard (médecin)
- Benoît Castéra (kinésithérapeute)
- Bruno Jouan (kinésithérapeute, ostéopathe)
- Michel Laurent (kinésithérapeute)
- Frédéric Sanchez (ostéopathe)
Préparateurs physiques
- Alexandre Marco (principal)
- Bernard Baïsse (assistant)
- Florent Lokteff (assistant)
- Zeba Traoré (réhabilitation)
- Saad Drissi (responsable de la data)
Secteur vidéo
- Frédérick Gabas (principal)
- Etienne Quemin (assistant)
Calendrier et résultats
Calendrier
| Date du match | Domicile | Extérieur | Score (bonus) |
Lieu du match | Catégorie | Classement |
|---|---|---|---|---|---|---|
| 26 - 12 | Stade Michel-Bendichou | Amical | - | |||
| 21 - 19 | Stade Aimé-Giral | Amical | - | |||
| 16 - 16 | Matmut Stadium Gerland | 1re journée de Top 14 | 7 | |||
| (BD) 20 - 23 | Stade des Alpes | 2e journée de Top 14 | 4 | |||
| 33 - 26 | Stade Ernest-Wallon | 3e journée de Top 14 | 3 | |||
| 30 - 17 | Stade Ernest-Wallon | 4e journée de Top 14 | 4 | |||
| (BO) 66 - 15 | GGL Stadium | 5e journée de Top 14 | 4 | |||
| (BD) 22 - 26 | Stade Ernest-Wallon | 6e journée de Top 14 | 8 | |||
| 10 - 0 | Stade Ernest-Wallon | 7e journée de Top 14 | 6 | |||
| (BD) 20 - 22 | Recreation Ground | 1re journée d'ERCC1 | 2 | |||
| 28 - 27 (BD) | Stade Ernest-Wallon | 2e journée d'ERCC1 | 1er | |||
| 18 - 36 (BO) | Stade Aimé-Giral | 8e journée de Top 14 | 3 | |||
| (BO) 40 - 0 | Stade Ernest-Wallon | 9e journée de Top 14 | 2e | |||
| (BD) 13 - 15 | Stade du Hameau | 10e journée de Top 14 | 2e | |||
| (BO) 49 - 20 | Stade Ernest-Wallon | 11e journée de Top 14 | 2e | |||
| 16 - 24 | Ricoh Arena | 3e journée d'ERCC1 | 1er | |||
| (BO) 42 - 27 | Stade Ernest-Wallon | 4e journée d'ERCC1 | 1er | |||
| 20 - 20 | Stade Marcel-Michelin | 12e journée de Top 14 | 2e | |||
| (BO) 39 - 0 | Stadium de Toulouse | 13e journée de Top 14 | 2e | |||
| (BD) 20 - 27 | Stade Armandie | 14e journée de Top 14 | 2e | |||
| 29 - 13 | RDS Arena | 5e journée d'ERCC1 | 2 | |||
| 20 - 17 (BD) | Stade Ernest-Wallon | 6e journée d'ERCC1 | 2 | |||
| (BO) 29 - 16 | Stade Ernest-Wallon | 15e journée de Top 14 | 1er | |||
| (BD) 29 - 34 | Paris La Défense Arena | 16e journée de Top 14 | 1er | |||
| 27 - 14 | Stade Ernest-Wallon | 17e journée de Top 14 | 1er | |||
| 9 - 28 (BO) | Stade Jean-Bouin | 18e journée de Top 14 | 1er | |||
| (BO) 53 - 21 | Stade Ernest-Wallon | 19e journée de Top 14 | 1er | |||
| (BD) 19 - 23 | Stade Marcel-Deflandre | 20e journée de Top 14 | 1er | |||
| (BD) 21 - 22 | Paris La Défense Arena | Quart-de-finale d'ERCC1 | Qualifié | |||
| 25 - 10 | Orange Vélodrome | 21e journée de Top 14 | 1er | |||
| 47 - 44 (BD) | Stadium de Toulouse | 22e journée de Top 14 | 1er | |||
| 30 - 12 | Aviva Stadium | Demi-finale d'ERCC1 | Éliminé | |||
| (BD) 20 - 21 | Stade Pierre-Fabre | 23e journée de Top 14 | 1er | |||
| (BO) 83 - 6 | Stade Ernest-Wallon | 24e journée de Top 14 | 1er | |||
| 36 - 43 | Stade Chaban-Delmas | 25e journée de Top 14 | 1er | |||
| (BO) 47 - 7 | Stade Ernest-Wallon | 26e journée de Top 14 | 1er | |||
| (BO) 20 - 6 | Matmut Atlantique | Demi-finale de Top 14 | Qualifié | |||
| 24 - 18 | Stade de France | Finale de Top 14 | Champion |
Top 14
Phase régulière
| Rang | Club | J | D | Bd | Diff | Pts |
|---|---|---|---|---|---|---|
| 1 | Stade toulousain | 26 | 3 | 1 | +312 | 98 |
| 2 | ASM Clermont | 26 | 7 | 4 | +293 | 83 |
| 3 | Lyon OU | 26 | 8 | 1 | +158 | 78 |
| 4 | Racing 92 | 26 | 10 | 4 | +187 | 74 |
| 5 | Stade rochelais | 26 | 10 | 1 | +103 | 71 |
| 6 | Montpellier HR | 26 | 11 | 6 | +113 | 70 |
| 7 | Castres olympique (T) | 26 | 11 | 5 | +9 | 69 |
| 8 | Stade français Paris | 26 | 12 | 4 | +4 | 64 |
| 9 | RC Toulon | 26 | 14 | 3 | +30 | 57 |
| 10 | Union Bordeaux Bègles | 26 | 13 | 3 | -93 | 57 |
| 11 | Section paloise | 26 | 17 | 5 | -262 | 43 |
| 12 | SU Agen | 26 | 17 | 4 | -223 | 38 |
| 13 | FC Grenoble (P) | 26 | 19 | 5 | -243 | 29 |
| 14 | USA Perpignan (P) | 26 | 24 | 4 | -388 | 12 |
| Qualification pour les demi-finales (no 1, no 2) et pour la Coupe d'Europe 2019-2020. | |
| Qualification pour les barrages (no 3, no 4, no 5, no 6) et pour la Coupe d'Europe 2019-2020. | |
| Qualification pour la Challenge Cup 2019-2020. | |
| Barrage face au finaliste de Pro D2 (no 13). | |
| Relégué en Pro D2 pour la saison 2019-2020 (no 14). | |
| T : tenant du titre 2018 • P : promu 2018 |
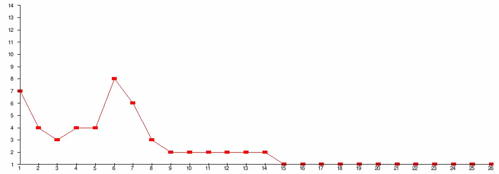
Évolution du classement du Stade toulousain en fonction de la journée de championnat :

Records
Au cours de la saison régulière, le Stade toulousain bat ou égale plusieurs records du championnat sous forme de poule unique à 14 clubs[11] :
- Nombre de points : 98,
- Nombre d'essais : 102,
- Plus petit nombre de défaites : 3,
- Invincibilité : 14 matches consécutifs,
- Victoires à l'extérieur : 9 (record égalé),
- Points à l'extérieur : 42,
- Remontée en deuxième mi-temps : mené 36-7 à la mi-temps par l'Union Bordeaux Bègles, le Stade toulousain remporte le match (43-36) le ,
- Meilleure phase retour : 53 points (record égalé).
Phase finale
Demi-finale
21 h 0 |
Stade toulousain | 20 - 6 (7 - 6) |
Stade rochelais | Matmut Atlantique, Bordeaux 42 071 spectateurs Arbitre : Pascal Gaüzère |
| Essai(s) : 3 Guitoune (13e), Bézy (60e) et Kolbe (65e) Transformation(s) : 1 Ramos (14e) Pénalité(s) : 1 Bézy (73e) |
Pénalité(s) : 2 West (22e et 27e) | |||
| Stade toulousain
Titulaires
|
Stade rochelais
Titulaires
|
Finale
| Samedi 20 h 45 |
Stade toulousain | 24 - 18 (11 - 9) |
ASM Clermont | Stade de France, Saint-Denis Arbitre : Jérôme Garcès |
| Essai(s) : 2 Huget (28e, 55e) Transformation(s) : 1 Ramos (56e) Pénalité(s) : 4 Ramos (9e, 18e, 49e, 66e) Carton(s) jaune(s) : 1 Kolbe (33e) |
Pénalité(s) : 6 Laidlaw (2e, 14e, 34e, 52e, 61e), Lopez (73e) | |||
| Stade toulousain
Titulaires
|
ASM Clermont
Titulaires
|
Coupe d'Europe
Phase de poule
Dans la Coupe d'Europe, le Stade toulousain fait partie de la poule 1 et est opposé aux Anglais des Wasps et de Bath Rugby et aux Irlandais du Leinster Rugby.
| Rang | Équipe | J | D | Ee | Bd | Diff | Pts |
|---|---|---|---|---|---|---|---|
| 1 | 6 | 1 | 10 | 1 | +116 | 25 | |
| 2 | 6 | 1 | 15 | 0 | +13 | 21 | |
| 3 | 6 | 4 | 19 | 3 | -37 | 10 | |
| 4 | 6 | 5 | 26 | 1 | -92 | 4 |
1re journée
14 h 00 |
Bath Rugby |
20 – 22 (17 – 12) |
Bath, Recreation Ground 12 284 spectateurs Arbitre : | |
| Essai(s) : 2 Roberts (24e), Burns (28e) Transformation(s) : 2 Burns (25e, 30e) Pénalité(s) : 2 Burns (2e, 47e) Carton(s) jaune(s) : Ellis (52e) |
Essai(s) : 3 Médard (7e), Guitoune (34e, 61e) Transformation(s) : 2 Ramos (8e, 62e) Pénalité(s) : 1 Ramos (53e) Carton(s) jaune(s) : Kaino (38e) | |||
2e journée
16 h 15 |
Stade toulousain |
28 – 27 (21 – 13) |
Toulouse, Stade Ernest-Wallon 17 852 spectateurs Arbitre : | |
| Essai(s) : 3 Médard (12e, 68e), Guitoune (37e) Transformation(s) : 2 Ramos (38e, 69e) Pénalité(s) : 3 Ramos (1re, 6e, 17e) |
Essai(s) : 3 O'Brien (32e), Ryan (46e), Cronin (52e) Transformation(s) : 3 Sexton (34e, 47e, 53e) Pénalité(s) : 2 Sexton (21e, 27e) | |||
3e journée
18h30 |
Wasps |
16 – 24 (13 – 11) |
Coventry, Ricoh Arena 13 599 spectateurs Arbitre : | |
| Essai(s) : 1 Rowlands (34e) Transformation(s) : 1 Sopoaga (35e) Pénalité(s) : 3 Sopoaga (7e), Daly (21e, 59e) |
Essai(s) : 2 Kolbe (15e), Guitoune (52e) Transformation(s) : 1 Ramos (53e) Pénalité(s) : 4 Ramos (24e, 32e, 44e, 65e) Carton(s) jaune(s) : van Dyk (33e), Madaule (70e) | |||
4e journée
16h15 |
Stade toulousain |
42 - 27 (22 - 20) |
Toulouse, Stade Ernest-Wallon 16 737 spectateurs Arbitre : | |
| Essai(s) : 5 Huget (1re), Tekori (13e), Ntamack (21e), Dupont (41e, 65e) Transformation(s) : 4 Ramos (14e, 22e, 42e, 66e) Pénalité(s) : 3 Ramos (34e, 53e, 77e) |
Essai(s) : 3 Bassett (10e), le Roux (26e), Neal (44e) Transformation(s) : Searle (11e, 26e, 45e) Pénalité(s) : Searle (8e, 36e) | |||
5e journée
14h00 |
Leinster |
29 - 13 (10 - 6) |
Dublin, RDS Arena 18 493 spectateurs Arbitre : | |
| Essai(s) : 4 Conan (35e), Kearney (51e), Cronin (60e), Byrne (76e) Transformation(s) : 3 Byrne (36e, 61e), Reid (77e) Pénalité(s) : 1 Byrne (8e) |
Essai(s) : 1 Kolbe (80e) Transformation(s) : 1 Kolbe (80e+1) Pénalité(s) : 2 Ramos (14e, 40e) | |||
6e journée
16h15 |
Stade toulousain |
20 - 17 (17 - 3) |
Toulouse, Stade Ernest-Wallon 18 754 spectateurs Arbitre : | |
| Essai(s) : 2 Tekori (13e), Dupont (32e) Transformation(s) : 2 Holmes (14e, 33e) Pénalité(s) : 2 Holmes (18e), Ramos (70e) |
Essai(s) : 2 Rokoduguni (61e), Mercer (76e) Transformation(s) : 2 Priestland (62e, 77e) Pénalité(s) : 1 Priestland (24e) | |||
Phase finale
Quart de finale
16 h 15 |
Racing 92 |
21 - 22 (10-19) |
Paris La Défense Arena, Nanterre 26 092 spectateurs Arbitre : | |
| Essai(s) : 2 Thomas (19e), Chat (75e) Transformation(s) : 1 Machenaud (20e) Pénalité(s) : 3 Machenaud (13e, 49e, 55e) Carton(s) jaune(s) : 2 Thomas (28e), Imhoff (68e) |
Essai(s) : 3 Dupont (7e, 37e), Médard (32e) Transformation(s) : 2 Holmes (8e), Ntamack (37e) Pénalité(s) : 1 Ramos (68e) Carton(s) rouge(s) : 1 Holmes (22e) | |||
Titulaires |
Stade toulousain Titulaires |
Demi-finale
16 h 15 |
Leinster |
30 - 12 (17 - 6) |
Aviva Stadium, Dublin 42 916 spectateurs Arbitre : | |
| Essai(s) : 3 Lowe (13e), McGrath (25e), Fardy (52e) Transformation(s) : 3 Sexton (14e, 27e, 54e) Pénalité(s) : 3 Sexton (10e, 65e), R. Byrne (77e) Carton(s) jaune(s) : 1 Henshaw (30e) |
Pénalité(s) : 4 Ramos (5e, 30e, 44e), Ntamack (59e) Carton(s) jaune(s) : 1 Gray (24e) | |||
Titulaires |
Stade toulousain Titulaires |
Statistiques
En Top 14
Meilleurs réalisateurs

Thomas Ramos 
Zack Holmes
| Rang | Joueur | Poste | Points | Essais | Transf. | Pén. | Drops |
|---|---|---|---|---|---|---|---|
| 1 | Arrière | 257 | 7 | 51 | 39 | 1 | |
| 2 | Demi d'ouverture | 92 | 3 | 22 | 11 | 0 | |
| 3 | Centre | 51 | 6 | 6 | 3 | 0 | |
| 4 | Demi de mêlée | 32 | 5 | 2 | 1 | 0 |
Meilleurs marqueurs

Sofiane Guitoune 
Arthur Bonneval 
Yoann Huget
En Coupe d'Europe
Meilleurs réalisateurs

Thomas Ramos 
Cheslin Kolbe
| Rang | Joueur | Poste | Points | Essais | Transf. | Pén. | Drops |
|---|---|---|---|---|---|---|---|
| 1 | Arrière | 72 | 0 | 9 | 18 | 0 | |
| 2 | Ailier | 12 | 2 | 1 | 0 | 0 | |
| 3 | Centre | 10 | 1 | 1 | 1 | 0 | |
| 4 | Demi d'ouverture | 9 | 0 | 3 | 1 | 0 |
Meilleurs marqueurs

Antoine Dupont 
Sofiane Guitoune 
Maxime Medard
| Rang | Joueur | Poste | Essais |
|---|---|---|---|
| 1 | Demi de mêlée | 5 | |
| 2 | Centre | 4 | |
| - | Arrière | 4 | |
| 4 | Ailier | 2 | |
| - | Deuxième ligne | 2 | |
| 6 | Ailier | 1 | |
| - | Centre | 1 |
Sélections internationales
Liste groupe France
Deux joueurs du Stade toulousain font partie de la liste Groupe France de 40 joueurs annoncée par Jacques Brunel en début de saison[13] :
Cinq toulousains sont eux dans la liste Groupe France Développement, groupe de 20 jeunes à fort potentiel également suivi par le staff des Bleus :
Matchs internationaux de rugby à XV
Cheslin Kolbe (Afrique du Sud), David Ainuu (États-Unis), Julien Marchand, Romain Ntamack, Thomas Ramos et Dorian Aldegheri connaissent leurs premières capes internationales cette saison.
| Joueur | Poste | Pays | Compétition | Sélections (points) |
|---|---|---|---|---|
| Cheslin Kolbe | Ailier | Rugby Championship, Test match | 7 (10) | |
| David Ainuu | Pilier | Test match, Americas Rugby | 5 (0) | |
| Dorian Aldegheri | Pilier | Six Nations | 4 (0) | |
| Julien Marchand | Talonneur | Test match, Six Nations | 2 (0) | |
| Antoine Dupont | Demi de mêlée | Test match, Six Nations | 7 (5) | |
| Romain Ntamack | Centre | Six Nations | 5 (15) | |
| Yoann Huget | Ailier | Test match, Six Nations | 7 (20) | |
| Maxime Médard | Arrière | Test match, Six Nations | 6 (0) | |
| Thomas Ramos | Arrière | Six Nations | 4 (5) | |
| Leonardo Ghiraldini | Talonneur | Test match, Six Nations | 8 (0) | |
| Piula Faasalele | Troisième ligne | Test match | 2 (0) |
Barbarians
- Romain Ntamack est titulaire le avec les Barbarians français face aux Tonga. Il inscrit un essai et passe une transformation. Présent dans la liste initiale, Thomas Ramos et Florian Verhaeghe déclarent forfait la semaine précédant la rencontre.
Sélectionnés pour la Coupe du monde 2019
Sept joueurs du Stade toulousain sont sélectionnés avec l'équipe de France pour participer à la Coupe du monde 2019 : Antoine Dupont (14 sélections), Sofiane Guitoune (5 sélections), Yoann Huget (58 sélections), Peato Mauvaka (0 sélection), Maxime Médard (56 sélections), Romain Ntamack (4 sélections) et Thomas Ramos (4 sélections)[14]. François Cros (0 sélection) fait partie des 6 réservistes qui peuvent intégrer le groupe en cas de blessure. Cyril Baille et Sébastien Bézy était dans la liste des 65 joueurs présélectionnés en par Jacques Brunel mais ne sont pas conservés dans le groupe réduit à 37[15]. Cyril Baille rejoint la liste des réservistes en juillet 2019 après le forfait d'Étienne Falgoux[16] puis intègre le groupe définitif qui participe au mondial, préféré à Dany Priso[17].
Sam Matavesi est dans la présélection de 50 joueurs des Fidji annoncé en [18] puis il est sélectionné dans le groupe définitif de 31 joueurs en [19].
Cheslin Kolbe (4 sélections) et Rynhardt Elstadt (0 sélection) sont sélectionnés pour participer au Rugby Championship (-) qui permet à l'équipe d'Afrique du Sud de préparer la Coupe du monde[20]. Seul Kolbe est finalement sélectionné pour participer à la compétition[21].
De la même manière, David Ainuu est sélectionné pour disputer la Pacific Nations Cup durant l'été puis le mondial au Japon[22].
Écarté des terrains à partir de , Leonardo Ghiraldini parvient tout de même à intégrer le groupe italien pour la compétition[23]. Le Stade toulousain permet ainsi à trois de ces talonneurs (Mauvaka, Ghiraldini et Matavesi) de participer au mondial alors même que le capitaine et titulaire du poste au club est contraint de déclarer forfait.
Piula Faasalele est lui sélectionné dans le groupe samoan pour la compétition[24].
Aspects sociaux économiques
Affluence à domicile
Les bons résultats du Stade toulousain pousse le club à retourner au Stadium pour la première fois depuis le . Toulouse y reçoit le RC Toulon et réalise un match à guichet fermé[25]. Sur l'ensemble de la saison, l'équipe réalise cinq matches à guichet fermé : deux au Stadium (Toulon et Clermont) et trois à Ernest-Wallon (Castres, Bath et Perpignan)[26].
| Journée | Date et horaire | Stade | Adversaire | Affluence |
|---|---|---|---|---|
| 3 | Samedi (17:00) | Stade Ernest-Wallon | Stade rochelais | 14 526 |
| 4 | Samedi (20:45) | Stade Ernest-Wallon | Racing 92 | 14 200 |
| 6 | Samedi (15:10) | Stade Ernest-Wallon | Castres olympique | 18 838 |
| 7 | Samedi (20:45) | Stade Ernest-Wallon | SU Agen | 14 213 |
| 9 | Samedi (20:45) | Stade Ernest-Wallon | Union Bordeaux Bègles | 14 372 |
| 11 | Dimanche (16:50) | Stade Ernest-Wallon | Stade français | 17 729 |
| 13 | Dimanche (20:45) | Stadium | RC Toulon | 32 721 |
| 15 | Dimanche (12:30) | Stade Ernest-Wallon | FC Grenoble | 10 767 |
| 17 | Samedi (18:00) | Stade Ernest-Wallon | Montpellier HR | 15 839 |
| 19 | Dimanche (16:50) | Stade Ernest-Wallon | Lyon OU | 15 398 |
| 22 | Dimanche (16:50) | Stadium | ASM Clermont | 32 769 |
| 24 | Samedi (14:45) | Stade Ernest-Wallon | Section paloise | 18 500 |
| 26 | Samedi (16:30) | Stade Ernest-Wallon | USA Perpignan |
| Journée | Date et horaire | Stade | Adversaire | Affluence |
|---|---|---|---|---|
| 2 | Dimanche (16:15) | Stade Ernest-Wallon | 17 852 | |
| 4 | Samedi (16:15) | Stade Ernest-Wallon | 16 737 | |
| 6 | Dimanche (16:15) | Stade Ernest-Wallon | 18 754 |
Diffusion télévisée
Les droits du Top 14 sont détenus par le groupe Canal+ qui retransmet l'intégralité des rencontres, dont celles du Stade toulousain[27].
Pour la coupe d'Europe, les droits télévisuels sont partagés entre les groupes BeIn Sports et France Télévisions. Le premier diffuse l'ensemble des matches du Stade toulousain tandis que le second retransmet trois matches de poule ainsi que le quart-de-finale contre le Racing 92 et la demi-finale contre le Leinster sur France 2[28].
La finale de Top 14 est diffusée à la fois sur Canal+ et sur France 2.
| Date et horaire | Match | Compétition | Chaîne | Commentateurs | Audience moyenne | Réf. | |
|---|---|---|---|---|---|---|---|
| Nombre de téléspectateurs | PDM | ||||||
| Dimanche (16:15) | Stade toulousain - Leinster | Coupe d'Europe | France 2 | Matthieu Lartot et Raphaël Ibañez | 1 080 000 | 11,2 % | [29] |
| Dimanche (16:15) | Leinster - Stade toulousain | Quart-de-finale de la Coupe d'Europe | France 2 | Matthieu Lartot et Raphaël Ibañez | 1 310 000 | 14,8 % | [30] |
| Dimanche (20:45) | Stade toulousain - ASM Clermont Auvergne | Finale du Top 14 | France 2 | Matthieu Lartot et Fabien Galthié | 3 200 000 | 17,2 % | [31] |
| Canal+ | Éric Bayle et Thomas Lombard | 792 000 | 4,3 % | ||||
Transferts inter-saison 2019
| Joueur | Poste | Nationalité sportive | Nature | Destination |
|---|---|---|---|---|
| William Servat | Entraîneur | Transfert | ||
| Jean Bouilhou | Entraîneur assistant | Transfert | ||
| Leonardo Ghiraldini | Talonneur | Transfert | - | |
| Lucas Pointud | Pilier | Transfert | ||
| Piula Faasalele | Deuxième ligne | Transfert | ||
| Pierre Gayraud | Deuxième ligne | Transfert | ||
| Alexandre Manukula | Deuxième ligne | Prêt |
| Joueur | Poste | Nationalité sportive | Durée |
|---|---|---|---|
| Maks van Dyk | Pilier | 2020 | |
| Clément Castets | Pilier | 2021 (+1 en option) | |
| David Ainuu | Pilier | 2021 | |
| Guillaume Marchand | Talonneur | 2022 | |
| Julien Marchand | Talonneur | 2023 | |
| Alexandre Manukula | Deuxième ligne | 2022 | |
| Emmanuel Meafou | Deuxième ligne | 2021 | |
| Thibaut Hamonou | Troisième ligne aile | 2022 | |
| Pierre Pagès | Demi de mêlée | 2020 | |
| Zack Holmes | Demi d'ouverture | 2022 | |
| Romain Ntamack | Demi d'ouverture | 2023 | |
| Pita Ahki | Centre | 2021 | |
| Sofiane Guitoune | Ailier | 2022 | |
| Maxime Médard | Arrière | 2021 (+1 en option) | |
| Cheslin Kolbe | Ailier | 2023 |
| Joueur | Poste | Nationalité sportive | Nature | Provenance |
|---|---|---|---|---|
| Virgile Lacombe | Entraîneur des avants | Retraite sportive | ||
| Alan-Basson Zondagh | Entraîneur chargé de la technique individuelle | Transfert | ||
| Rory Arnold | Deuxième ligne | Transfert | ||
| Bastien Chalureau | Deuxième ligne | Transfert | ||
| Antoine Miquel | Troisième ligne | Transfert | ||
| Tristan Tedder | Demi d'ouverture | Retour de prêt | ||
| Maxime Marty | Ailier | Retour de prêt |
Récompenses individuelles
- Prix World Rugby :
- Révélation World Rugby de l'année : Romain Ntamack,
- Nomination : meilleur joueur World Rugby de l'année : Cheslin Kolbe.
- Oscars du Midi olympique
Oscar monde : Cheslin Kolbe
Oscar d'or : Antoine Dupont
- Nuit du rugby :
- Meilleur joueur du Top 14 : Cheslin Kolbe
- Meilleur staff du Top 14
- Meilleur joueur du Top 14 à la coupe du monde 2019 : Cheslin Kolbe
- Prix du fair play : Jerome Kaino (pour avoir laissé Julien Marchand soulever le Bouclier de Brennus lors de la finale du Top 14 alors qu'il portait lui-même le brassard lors du match).
Notes et références
Notes
- ↑ Pour les joueurs formés au club, année de leur première apparition en équipe professionnelle.
Références
- ↑ Le JDD, « Le Stade toulousain fait souffler un vent de fraîcheur sur le rugby français », sur lejdd.fr (consulté le )
- ↑ « Transferts Pro D2 - Biarritz : Jarrod Poï est arrivé, Isimeli Kuruibua s’engage pour trois ans », sur www.rugbyrama.fr, Rugbyrama, (consulté le )
- ↑ « Biarritz lance sa saison », sur www.rugbyrama.fr, Rugbyrama, (consulté le )
- ↑ « Top 14 : Le Stade toulousain veut installer Julien Marchand en capitaine « sur le long terme » ! », sur tribunesports.net, (consulté le )
- ↑ « Toulouse : Kaino prend le capitanat », sur www.lequipe.fr, (consulté le )
- ↑ « Fiche de Matthis Lebel », sur itsrugby.fr (consulté le ).
- ↑ « Fiche de Guillaume Marchand », sur itsrugby.fr (consulté le ).
- ↑ « Fiche de David Ainuu », sur itsrugby.fr (consulté le ).
- ↑ « Fiche d'Alexandre Manukula », sur itsrugby.fr (consulté le ).
- ↑ « Fiche de Paulo Tafili », sur itsrugby.fr (consulté le ).
- ↑ « Rugby : le Stade Toulousain a pulvérisé huit records cette saison en Top 14 », sur ladepeche.fr (consulté le )
- 1 2 3 4 « Statistiques des joueurs du Stade toulousain », sur stadetoulousain.fr (consulté le ).
- ↑ « Liste XV de France et France Développement », sur www.ffr.fr, Fédération française de rugby, (consulté le ).
- ↑ « Équipe de France : avec Setiano, Mauvaka et Guitoune mais sans Bastareaud pour préparer la Coupe du monde », sur www.lequipe.fr, (consulté le ).
- ↑ « Qui sont les 65 joueurs présélectionnés pour la Coupe du monde ? », sur www.lequipe.fr, (consulté le ).
- ↑ « XV de France : Falgoux doit renoncer, le Toulousain Cyril Baille appelé en renfort », sur www.ladepeche.fr, (consulté le ).
- ↑ Marc Duzan, « Picamoles in, Lambey et Cros out : les enseignements de la liste de Brunel », sur www.rugbyrama.fr, (consulté le ).
- ↑ Arnaud Coudry, « Fidji : un groupe de 50 joueurs avec 24 «Français» mais sans Montpelliérains », sur sport24.lefigaro.fr, (consulté le ).
- ↑ « 13 joueurs de Top 14 pour les Fidji au Japon », sur www.rugbyrama.fr, .
- ↑ « Rugby Championship : les Springboks avec Rynhardt Elstadt et Cheslin Kolbe », sur www.lequipe.fr, (consulté le ).
- ↑ « Coupe du monde : le groupe des 31 de l'Afrique du sud avec Kolbe et Steyn », sur www.lequipe.fr, .
- ↑ « Coupe du monde 2019 : le capitaine americain Scully en route pour son 3e mondial », sur www.rugbyrama.fr, .
- ↑ (it) « ITALRUGBY, CONOR O'SHEA ANNUNCIA I 31 GIOCATORI CONVOCATI PER IL MONDIALE », sur federugby.it (consulté le )
- ↑ « La liste des Samoans dévoilée », sur www.rugbyrama.fr, (consulté le ).
- ↑ « Top 14 - Toulouse - Toulon, un choc au Stadium », sur Rugbyrama, (consulté le )
- ↑ « Toulouse - Perpignan à guichets fermés pour la dernière à Ernest-Wallon », sur Quinze Mondial, (consulté le )
- ↑ « Droits télé du Top 14 : l’attribution à Canal+ entérinée », sur SudOuest.fr (consulté le )
- ↑ « Rugby - Champions Cup - Demi-finale : Leinster Rugby - Stade Toulousain » (consulté le )
- ↑ Florian Guadalupe, « Audiences : Arthur leader en baisse sur TF1, M6 devant France 3, le rugby féminin booste France 4 », sur www.ozap.com, (consulté le ).
- ↑ Kevin Boucher, « Audiences : Arthur leader en baisse sur TF1, M6 devant France 3, le rugby féminin booste France 4 », sur www.ozap.com, (consulté le ).
- ↑ Benjamin Meffre, « Audiences : La finale du Top 14 leader en hausse, "La chanson de l'année" troisième en net recul, carton pour Arte », sur www.ozap.com, (consulté le ).
Liens externes
- Portail du rugby à XV
- Portail des années 2010
- Portail de Toulouse
