Rhodanèse
Thiosulfate sulfurtransférase
| N° EC | EC |
|---|---|
| N° CAS |
| IUBMB | Entrée IUBMB |
|---|---|
| IntEnz | Vue IntEnz |
| BRENDA | Entrée BRENDA |
| KEGG | Entrée KEGG |
| MetaCyc | Voie métabolique |
| PRIAM | Profil |
| PDB | RCSB PDB PDBe PDBj PDBsum |
| GO | AmiGO / EGO |
La rhodanèse, également appelée rhodanase et thiosulfate sulfurtransférase (TST), est une transférase qui catalyse la réaction :
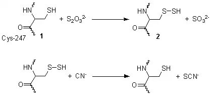
Cette enzyme mitochondriale intervient dans la détoxication du cyanure[2]. La réaction se produit en deux étapes, représentées sur le schéma ci-dessous :
- le thiosulfate S2O32− réagit avec le groupe thiol du résidu Cys-247 (1) pour former un disulfure (2) en libérant un ion sulfite SO32− ;
- le disulfure –S–SH réagit avec le cyanure CN− pour former le thiocyanate SCN− en redonnant le thiol –SH initial.

Notes et références
- ↑ (en) Michele Cianci, Francesca Gliubich, Giuseppe Zanotti et Rodolfo Berni, « Specific interaction of lipoate at the active site of rhodanese », Biochimica et Biophysica Acta (BBA), vol. 1481, no 1, , p. 103-108 (PMID 11004580, DOI 10.1016/S0167-4838(00)00114-X, lire en ligne)
- ↑ (en) R. Cipollone, P. Ascenzi, P. Tomao, F. Imperi et P. Visca, « Enzymatic Detoxification of Cyanide: Clues from Pseudomonas aeruginosa Rhodanese », Journal of Molecular Microbiology and Biotechnology, vol. 15, nos 2-3, , p. 199-211 (PMID 18685272, DOI 10.1159/000121331, lire en ligne)
- Portail de la biochimie