Réaction de Fehling
La réaction de Fehling est une réaction chimique qui sert couramment à caractériser des aldéhydes et certaines espèces chimiques réductrices (par exemple les sucres réducteurs) par leur oxydation par des ions cuivre(II).
Pour l'essentiel, la solution de Fehling (ou liqueur de Fehling) contient des ions cuivre(II) complexés par les ions tartrate en milieu basique. Ces derniers permettent de maintenir en solution les ions cuivre(II) à un pH auquel ils seraient précipités sous forme d'hydroxyde Cu(OH)2 s'ils n'étaient complexés. Les ions cuivre(II) constituent l'oxydant de l'aldéhyde et le milieu basique est nécessaire pour que la réaction ait lieu.
Préparation

Deux solutions aqueuses sont préparées et mélangées à parts égales, à la demande, pour former la liqueur de Fehling qui se conserve environ 18 mois[1],[2] :
- solution 1 : ~45 g de sulfate de cuivre (CuSO4) dans 1 000 ml d’eau distillée (solution saturée) ;
- solution 2 : 200 g de sel de Seignette (tartrate de sodium et de potassium, KNaC4H4O6•4H2O) et 150 g d'hydroxyde de sodium (NaOH) dans 1 000 ml d’eau distillée.
La liqueur de Fehling est corrosive (C) et dangereuse pour l'environnement (N).
Principe de la réaction sur un aldéhyde
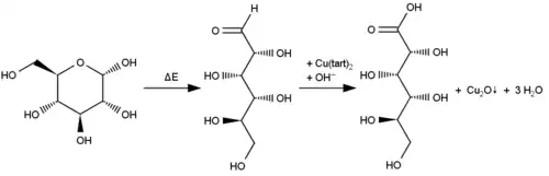
Au cours de la réaction, l'ion cuivre(II) oxyde l'aldéhyde pour donner un acide carboxylique sous sa forme basique (ion carboxylate), et un précipité rouge brique d'oxyde de cuivre(I) Cu2O selon l'équation d'oxydoréduction :
- R-CHO + 2Cu2+(aq) + 5HO−(aq) → RCOO− + Cu2O(s) + 3H2O.
Les cétones, qui ne peuvent subir d'oxydation ménagée, ne réagissent pas avec la liqueur de Fehling.
Utilisation en biochimie : mise en évidence des sucres réducteurs

Plus spécifiquement, en biochimie, la réaction de Fehling permet de mettre en évidence la présence d'aldoses et de sucres réducteurs.
Les oses renfermant un groupe aldéhydique libre réduisent en milieu alcalin et à chaud, les complexes (tartrates par exemple) de métaux (dont le cuivre). C'est le cas des aldoses, alors que les cétones ne réagissent pas, car les cétoses comme le fructose peuvent, en raison de l'énol commun, se transformer en aldoses (fructose donne glucose). Par contre, quand les deux groupes réducteurs sont engagés dans la liaison osidique (cas du saccharose), le composé n'est pas réducteur, ce qui n'est pas le cas du lactose présentant un groupe hémiacétalique libre.
La liqueur de Fehling, initialement bleue, conduit à un dépôt de couleur rouge brique à chaud, et cela uniquement en présence d'un composé qui présente un groupe aldéhydique (tel les sucres réducteurs, comme le glucose, le galactose et le maltose). Le test est aussi positif avec le saccharose si le milieu réactionnel est chauffé plus longtemps. La raison est que le saccharose s'hydrolyse en fructose et en glucose, et que ce dernier réagit avec les ions cuivre(II) de la liqueur.
Notes et références
- ↑ Produits et recettes-Fehling (réactif de) ou (liqueur de), sur svt.ac-aix-marseille.fr.
- ↑ http://www5.ac-lille.fr/~svt/labo/glucide/fehlin/prifeh.htm
Voir aussi
- Test spécifique aux aldéhydes et aux cétones : la 2,4-dinitrophénylhydrazine (2,4-DNPH)
- Tests spécifiques aux aldéhydes :
- Portail de la biochimie
- Portail de la chimie