Phosphatidylsérine
| Phosphatidylsérine | ||
| ||
| ||
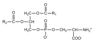
| Forme semi développée et topologique de la PS | ||
| Identification | ||
|---|---|---|
| No CAS | ||
| No CE | 232-307-2 | |
| DrugBank | DB00144 | |
| PubChem | 5459377 | |
| SMILES | ||
| InChI | ||
| Propriétés chimiques | ||
| Formule | C44H86NO8P [Isomères] |
|
| Masse molaire[1] | 788,129 3 ± 0,043 8 g/mol C 67,05 %, H 11 %, N 1,78 %, O 16,24 %, P 3,93 %, |
|
| Unités du SI et CNTP, sauf indication contraire. | ||
La phosphatidylsérine (en abrégé : PS), est un phospholipide (deux acides gras estérifiés sur une molécule de glycérol, elle-même liée à un acide phosphatidique), dont le groupement phosphate est associé à un acide aminé, la sérine. Du fait de son caractère amphiphile, c'est un constituant des membranes plasmiques. On la rencontre principalement du côté intracellulaire[2]. Elle possède une charge nette négative.
Comme elle est principalement présente sur la face intracellulaire, elle est responsable de l'apparition d'une différence de potentiel entre le côté extra-cytosolique et le côté intra-cytosolique[3].
En apparaissant sur le versant extracellulaire, c'est un signal d'apoptose : lors de l'apoptose, la protéine chargée du rangement de la phosphatidylsérine, la flippase, est désactivée[3],[4].
Elle est également exprimée dans certains types cellulaires après activation, notamment les thrombocytes[5] (plaquettes) : à la suite d'une activation par des facteurs thrombogéniques (collagène, facteur de von Willebrand, fibronectine, laminine, thrombine, thromboxane A2, ADP...), la plaquette activée expose sur son feuillet externe des phosphatidylsérine grâce à un mouvement transversal (flip-flop) ATP-dépendant effectué par l'enzyme flippase.
La phosphatidylsérine fait partie de la famille des phospholipides qui sont des composés majeurs des membranes entourant les cellules de l’organisme. Dans les neurones, c'est le phospholipide le plus abondant. La phosphatidylsérine cérébrale, contrairement à la phosphatidylsérine issue du soja, est constituée d’acides gras à chaîne longue. Cette caractéristique lui permet de traverser la barrière hémato-encéphalique pour se fixer dans le cerveau, plus précisément dans les membranes des neurones. Dans le cerveau, la phosphatidylsérine serait ainsi impliquée dans la formation de la mémoire à court terme, la consolidation de celle à long terme, ainsi que d'autres capacités cognitives comme celles d'apprendre et retenir ou focaliser son attention[6].
Puisque l'organisme est en mesure de la synthétiser[7], la phosphatidylsérine n'est pas considérée comme un nutriment essentiel. Cette synthèse est cependant complexe et demande une certaine dépense énergétique, un effort que l'organisme peut avoir du mal à fournir en cas de maladie ou de vieillissement. D'où l'intérêt d'un apport extérieur sous forme d'aliment ou de supplément. D'autant plus que, chez les aînés, la baisse du taux de phosphatidylsérine dans le cerveau est associée à une détérioration des fonctions cognitives et de la mémoire, ainsi qu'à la dépression[6],[8].
Une hypothèse sur les troubles de la mémoire liés à l'âge veut que ces derniers soient causés par des anomalies structurelles des membranes cellulaires des neurones. Attribuables à des changements dans la composition lipidique du cerveau, ces anomalies entraveraient la circulation des neurotransmetteurs entre le milieu intérieur et le milieu extérieur des neurones. L'administration de phosphatidylsérine cérébrale permettrait donc de restaurer l'intégrité des membranes neuronales.
La cervelle des mammifères constitue la seule source connue de phosphatidylsérine directement biodisponible en cas d'incapacité de l'organisme à la synthétiser à partir des nutriments fournis par les aliments.
Synthèse
Chez les mammifères, la phosphatidylsérine est synthétisé par la phosphatidylsérine synthase[9].
Rôle fonctionnel
La phosphatidylsérine est un des cofacteurs de la protéine kinase C (PKC)[10],[11].
Recherche
- L'Annexine-A5 est une protéine possédant une forte affinité pour la PS. Couplée, elle permet la visualisation des cellules en premières et mi-phases d'apoptose. Ce test est complété par l'addition d'un agent intercalant (généralement l'iodure de propidium) qui ne pénètre dans la cellule qu'en phase tardive d'apoptose, ou lors de la nécrose.
On peut dès lors distinguer les cellules en nécrose de celles en apoptose selon les critères suivants :
- AnV− / PI− → cellule vivante.
- AnV− / PI+ → nécrose.
- AnV+ / PI− → phase précoce d'apoptose.
- AnV+ / PI+ → phase tardive d'apoptose.
- La protéine Mfge8 (Milk fat globule-EGF factor 8 protein Mfge8), également connue sous lactadhérine peut également se lier à la PS[12].
Les études cliniques sur la phosphatidylsérine ayant donné des résultats concluants ont été menées avec des extraits de cortex bovin ou porcin (extrait de cervelle), qu'il est convenu de nommer « phospholipides cérébraux » ou « céphaline ». En raison des risques de transmission de maladies de l'animal à l'humain, on a cessé d'offrir ce produit vers la fin des années 1990. C'est alors qu'est apparu dans le commerce un produit présenté comme étant une « phosphatidylsérine » de source végétale. Il s'agit d'une lécithine de soya (phosphatidylcholine) chimiquement modifiée de manière qu'on puisse lui donner le nom de « phosphatidylsérine ».
Il existe aussi sur le marché des phospholipides tirés des œufs (ovophospholipides). Ils n'ont pas encore fait l'objet d'études cliniques publiées et ils renferment de la phosphatidylcholine et non pas de la phosphatidylsérine.
Notes et références
- ↑ Masse molaire calculée d’après « Atomic weights of the elements 2007 », sur www.chem.qmul.ac.uk.
- ↑ Abraham L. Kierszenbaum, Histologie et biologie cellulaire: Une introduction à l'anatomie pathologique, De Boeck Supérieur, (ISBN 978-2-8041-4910-9, lire en ligne), p. 56
- 1 2 Peter A. Leventis et Sergio Grinstein, « The distribution and function of phosphatidylserine in cellular membranes », Annual Review of Biophysics, vol. 39, , p. 407–427 (ISSN 1936-1238, PMID 20192774, DOI 10.1146/annurev.biophys.093008.131234, lire en ligne, consulté le )
- ↑ Charles A. Janeway et Kenneth Murphy, Immunobiologie de Janeway, De Boeck Superieur, (ISBN 978-2-8073-0612-7, lire en ligne), p. 780
- ↑ Shancy Jacob, Yasuhiro Kosaka, Seema Bhatlekar et Frederik Denorme, « Mitofusin-2 Regulates Platelet Mitochondria and Function », Circulation Research, vol. 134, no 2, , p. 143–161 (ISSN 1524-4571, PMID 38156445, DOI 10.1161/CIRCRESAHA.123.322914, lire en ligne, consulté le )
- 1 2 Michael J. Glade et Kyl Smith, « Phosphatidylserine and the human brain », Nutrition (Burbank, Los Angeles County, Calif.), vol. 31, no 6, , p. 781–786 (ISSN 1873-1244, PMID 25933483, DOI 10.1016/j.nut.2014.10.014, lire en ligne, consulté le )
- ↑ (en) Chris D. Meletis et Jason E. Barker, Herbs and Nutrients for the Mind: A Guide to Natural Brain Enhancers, Greenwood Publishing Group, (ISBN 978-0-275-98394-9, lire en ligne), p. 93
- ↑ (en) Veronika Vakhapova, Tzafra Cohen, Yael Richter et Yael Herzog, « Phosphatidylserine Containing Omega-3 Fatty Acids May Improve Memory Abilities in Nondemented Elderly Individuals with Memory Complaints: Results from an Open-Label Extension Study », Dementia and Geriatric Cognitive Disorders, vol. 38, nos 1-2, , p. 39–45 (ISSN 1420-8008 et 1421-9824, DOI 10.1159/000357793, lire en ligne, consulté le )
- ↑ (en) Martha H. Stipanuk et Marie A. Caudill, Biochemical, Physiological, and Molecular Aspects of Human Nutrition - E-Book: Biochemical, Physiological, and Molecular Aspects of Human Nutrition - E-Book, Elsevier Health Sciences, (ISBN 978-0-323-26695-6, lire en ligne), p. 383
- ↑ (en) Lodewijk V. Dekker, Protein Kinase C, Springer Science & Business Media, (ISBN 978-0-306-47863-5, lire en ligne), p. 37
- ↑ (en) Julien L. Van Lancker, Apoptosis, Genomic Integrity, and Cancer, Jones & Bartlett Learning, (ISBN 978-0-7637-4541-7, lire en ligne), p. 19
- ↑ Milk fat globule epidermal growth factor 8 (MFG-E8) binds to oxidized phosphatidylserine: implications for macrophage clearance of apoptotic cells. G G Borisenko, S L Iverson, S Ahlberg, V E Kagan1 and B Fadeel.
- Portail de la biologie
- Portail de la biochimie
- Portail de la chimie

