Loi de Voigt
| Loi de Voigt | |
Densité de probabilité La courbe noire est la densité de la loi gaussienne (γ =0), la courbe rouge est celle de la loi de Cauchy(σ =0). | |
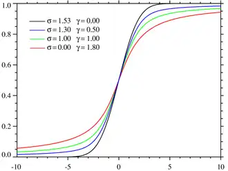
Fonction de répartition | |
| Paramètres | |
|---|---|
| Support | |
| Densité de probabilité | |
| Espérance | (non définie) |
| Médiane | |
| Mode | |
| Variance | (non définie) |
| Asymétrie | (non définie) |
| Kurtosis normalisé | (non définie) |
| Fonction génératrice des moments | (non définie) |
| Fonction caractéristique | |
En théorie des probabilités et en statistique, la loi de Voigt est la loi de probabilité continue dépendant de paramètres σ et γ dont la densité est donnée par la fonction de Voigt. Cette densité peut s'exprimer par la formule :
où Re[w(•)] est la partie réelle de la fonction d'erreur complexe ou fonction de Faddeeva.
Une variable aléatoire suivant la loi de Voigt sera notée : .
Fonction de répartition
La fonction de répartition de la loi de Voigt est donnée par :
où z est donnée par . Par le calcul de l'intégrale généralisée de la fonction d'erreur complexe grâce à la fonction d'erreur réelle :
la fonction de répartition s'écrit alors sous la forme :
où est la fonction hypergéométrique.
Fonction caractéristique
La fonction lorentzienne ne possède pas de moments, ainsi la loi de Voigt non plus. Cependant elle possède une fonction caractéristique donnée par la formule :
Loi non centrée
La loi de Voigt est la convolée d'une loi normale et d'une loi de Cauchy. Si la loi gaussienne est centrée en μG et la loi de Cauchy en μL, la convolée sera centrée en μG + μL et la fonction caractéristique sera alors donnée par la formule :
Le mode et la médiane valent alors μG + μL.
Liens avec d'autres lois
- Si , alors ,
- Si , alors ,
- Si et indépendantes, alors .
Références
- Cet article est partiellement ou en totalité issu de l'article intitulé « Fonction de Voigt » (voir la liste des auteurs).
- (en) Jong-Sen Lee, « Monte Carlo Simulation of Voigt Distribution in Photon Diffusion Problems », Astrophysical Journal, vol. 187, , p. 159-162 (lire en ligne)
Articles connexes
- Probabilité
- Probabilité (mathématiques élémentaires)
- Loi de probabilité
- Fonction de Voigt
- Loi normale
- Loi de Cauchy (probabilités)
- Portail des probabilités et de la statistique

