Loi de Paschen
La loi de Paschen, loi empirique énoncée par le physicien allemand Friedrich Paschen en 1889[1], indique que l'apparition d'un arc électrique dans un gaz, à un certain champ électrique de claquage (dit champ disruptif), est une fonction généralement non linéaire du produit de la pression du gaz par la distance entre les électrodes.
Expression analytique

La loi de Paschen énonce que la tension de claquage d'un gaz soumis à une différence de potentiel continue , entre électrodes séparées d'une distance , obéit à une équation de la forme :
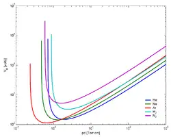
où et sont des constantes caractéristiques des électrodes et du gaz et où est la pression de celui-ci. Les courbes donnant les représentations graphiques de en fonction du produit sont appelées courbes de Paschen.
Démonstration
Pour que la décharge électrique s'établisse, les électrons présents dans la cellule, accélérés par le champ électrique établi entre l'anode et la cathode, doivent voir leur densité augmenter au fur et à mesure de leur progression vers l'anode. On suppose cette augmentation caractérisée par un taux constant par unité de longueur . La densité d'électrons à l'anode est alors reliée à la densité d'électrons à la cathode par la formule :
Les mêmes collisions qui produisent l'accroissement du nombre d'électrons dans la décharge produisent, en nombre égal, des ions positifs, dont la quantité arrivant au voisinage de la cathode est égale au nombre d'électrons produits dans le volume du gaz :
La densité d'électrons ne part pas de zéro à la cathode, car le bombardement de celle-ci par les ions positifs lui arrache des électrons, avec un coefficient d'efficacité :
Le passage continu du courant ne peut donc s'établir, les deux dernières conditions étant réunies, que si , c'est-à-dire :
Cependant le taux d'accroissement de la densité électronique par unité de longueur peut être relié aux paramètres fondamentaux du gaz. Si les collisions électron-atome ou électron-molécule y sont caractérisées par une section efficace , dans un gaz de densité , le libre parcours moyen des électrons dans le gaz est et la proportion d'électrons dont le vol libre dépasse une longueur est . Si est établi dans le gaz un champ électrique , la proportion d'électrons dont le vol libre soit suffisant pour qu'ils reçoivent, du fait de l'accélération par le champ, une énergie supérieure ou égale à l'énergie d'ionisation des atomes du gaz est donc , où est la charge élémentaire. Le taux d'accroissement de la densité électronique au long de la propagation vers la cathode est égal au produit du taux de collision par unité de longueur par cette proportion :
La condition d'entretien de la décharge peut donc se réécrire, en fonction de ces paramètres fondamentaux et en remplaçant par le rapport de la tension établie entre les électrodes à la distance qui les sépare :
ou, de façon équivalente,
La densité, pour un gaz parfait, étant proportionnelle à la pression, on a bien là la forme générale proposée pour la loi de Paschen, les paramètres macroscopiques et étant reliés aux paramètres fondamentaux par les équations
avec la constante de Boltzmann et
Il est à noter que, bien qu'il soit traditionnel d'exprimer la tension de claquage en fonction du produit seulement, elle ne dépend en réalité, selon le modèle, que du produit , toute la discussion des conditions d'entretien de la décharge ne faisant intervenir que la densité, sans que la température du gaz joue aucun rôle. On a vu (cf. supra) qu'exprimer en fonction de produirait une forme similaire pour , avec l'avantage supplémentaire de ne faire apparaitre que de véritables constantes, indépendantes de la température, ce qui n'est pas le cas de et . Cependant il est en général plus pratique de mesurer la pression d'une cellule à décharge que de mesurer la densité de la vapeur qu'elle contient. C'est pourquoi l'expression de en fonction de reste plus pratique pour la comparaison de la théorie aux données expérimentales.
Minimum de Paschen
Les courbes de Paschen montrent que la tension de claquage d'un gaz placé entre électrodes planes et soumis à un champ électrique continu passe toujours, pour une température donnée, par un minimum, à une pression inversement proportionnelle à la distance interélectrodes. Dans le modèle sur lequel est basée la loi de Paschen, cette pression s'exprime simplement en fonction des paramètres caractéristiques du gaz et de la cathode :
La tension de claquage minimale, appelée minimum de Paschen, , atteinte à cette pression, s'exprime quant à elle :
Cette tension ne dépend, selon le modèle, que du potentiel d'ionisation du gaz et de l'efficacité . Elle peut dépendre de la nature de la cathode mais ne dépend a priori ni de la distance interélectrodes, ni de la température. En dessous de cette tension, on n'obtiendra jamais le claquage.
Interprétation physique
À la pression normale, l'air est un isolant disposant d'une tension de claquage élevée. Il n'y a pas assez d'électrons libres et leur libre parcours moyen est trop faible pour qu'ils accélèrent suffisamment entre deux collisions : leur énergie cinétique est insuffisante pour ioniser le gaz.
Lorsque la pression de l'air diminue, la décharge électrique survient à des tensions plus faibles. La courbe de Paschen atteint le minimum de Paschen à quelques torrs dans l'air pour des distances de l'ordre du millimètre, la tension à appliquer atteint alors sa valeur minimale d'environ 330 volts. On observe par exemple un minimum de 350 V au point d'abscisse 730 Pa mm[2]. Pour l'hexafluorure de soufre SF6 (gaz utilisé dans les installations électriques) le minimum est de 500 V environ.
Si la pression continue de descendre sous le minimum de Paschen, la tension à fournir augmente à nouveau : la courbe de Paschen remonte. Le libre parcours moyen des électrons devient cette fois trop grand : il n'y a plus assez d'atomes sur leur chemin pour déclencher, par collisions avec ceux-ci, l'effet d'avalanche qui transforme le gaz en plasma.
Valeurs expérimentales
Les paramètres et peuvent être mesurés expérimentalement. est mesuré traditionnellement en Torr-1·cm-1 et B en V·Torr-1·cm-1 ; γ, le « second coefficient de Townsend », dépend de la nature des électrodes[3].
Voici quelques exemples de coefficients et pour quelques gaz[4], sur lesquels on pourra vérifier que varie comme la taille des atomes ou molécules cibles et que le rapport est bien de l'ordre de grandeur de leur potentiel d'ionisation (exprimé en volts) :
| Gaz | A (Torr-1·cm-1) | B (V·Torr-1·cm-1) |
|---|---|---|
| H2 | 5 | 130 |
| N2 | 12 | 342 |
| Air | 15 | 365 |
| He | 3 | 34 |
| Ne | 4 | 100 |
| Ar | 14 | 180 |
Notes et références
- ↑ (de) F. Paschen, « Über die zum Funkenübergang in Luft, Wasserstoff and Kohlensäure bei verschiedenen Drucken erforderliche Potentialdifferenz » [« Sur la différence de potentiel nécessaire à la formation d'arc électrique dans l'air, l'hydrogène et le gaz carbonique sous différentes pressions »], Annalen der Physik, vol. 273, , p. 69-96 (lire en ligne [PDF])
- ↑ Polycopié de l'Université technique de Munich
- ↑ Flavien Koliatene, Contribution à l'étude de l'existence des décharges dans les systèmes de l'avionique (thèse de doctorat de l'université de Toulouse), (lire en ligne [PDF])
- ↑ Eugen Bădărău et Iovitu Popescu, Gaz ionisés; décharges électriques dans les gaz, Paris, Dunod, , 334 p. (présentation en ligne)
Voir aussi
Articles connexes
- Portail de la physique
- Portail de l’électricité et de l’électronique