Intybine
| lactucopicrine | |
| |
| Identification | |
|---|---|
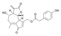
| Nom UICPA | [(3aR,4S,9aS,9bR)-4-Hydroxy-6-methyl-3-methylidene-2,7-dioxo-2,3,3a,4,5,7,9a,9b-octahydroazuleno[4,5-b]furan-9-yl]methyl (4-hydroxyphenyl)acetate |
| No CAS | 6466-74-6 (3aR,4S,9bS) |
| Propriétés chimiques | |
| Formule | C23H22O7 |
| Masse molaire[1] | 410,416 6 ± 0,022 g/mol C 67,31 %, H 5,4 %, O 27,29 %, |
| Unités du SI et CNTP, sauf indication contraire. | |
L'intybine (lactucopicrine) est un sesquiterpène qui donne un goût amer, et a des propriétés sédatives et analgésiques[2]. Ce glucoside[Information douteuse][3] qui provient de la condensation du sucre de la chicorée, est un composant du lactucarium, extrait de la Lactuca virosa (laitue vireuse)[4].
Il modifie la saveur de la chicorée en lui donnant son goût caramélisé caractéristique et a été utilisé comme antipaludéen[5].
Notes et références
- ↑ Masse molaire calculée d’après « Atomic weights of the elements 2007 », sur www.chem.qmul.ac.uk.
- ↑ (en) A. Wesołowska, A. Nikiforuk, K. Michalska et W. Kisiel, « Analgesic and sedative activities of lactucin and some lactucin-like guaianolides in mice », Journal of Ethnopharmacology, vol. 107, no 2, , p. 254–258 (DOI 10.1016/j.jep.2006.03.003, lire en ligne, consulté le )
- ↑ « Comment se cultive la chicorée, aussi appelée la fiancée du soleil ? », sur ConsoGlobe, (consulté le ).
- ↑ R. A. Sessa, « Metabolite profiling of sesquiterpene lactones from Lactuca species: Major latexcomponents are novel oxalate and sulfate conjugates of lactucin and its derivatives », Journal of Biological Chemistry, (DOI 10.1074/jbc.M000244200, lire en ligne, consulté le )
- ↑ (en) Theodore A. Bischoff, Charles J. Kelley, Yvette Karchesy et Maria Laurantos, « Antimalarial activity of Lactucin and Lactucopicrin: sesquiterpene lactones isolated from Cichorium intybus L. », Journal of Ethnopharmacology, vol. 95, nos 2-3, , p. 455–457 (DOI 10.1016/j.jep.2004.06.031, lire en ligne, consulté le )
- Portail de la biologie
