Hydroxyméthylfurfural
| Hydroxyméthylfurfural | |
| |
| Identification | |
|---|---|
| Nom UICPA | 5-(hydroxyméthyl)-2-furaldéhyde |
| No CAS | |
| No ECHA | 100.000.595 |
| No CE | 200-654-9 |
| No RTECS | LT7031100 |
| PubChem | 237332 |
| SMILES | |
| InChI | |
| Apparence | solide jaune |
| Propriétés chimiques | |
| Formule | C6H6O3 [Isomères] |
| Masse molaire[1] | 126,11 ± 0,006 1 g/mol C 57,14 %, H 4,8 %, O 38,06 %, |
| Propriétés physiques | |
| T° fusion | 28 à 34 °C[2] |
| T° ébullition | 114 à 116 °C[2] |
| Masse volumique | 1,243 g·cm-3[2] |
| Point d’éclair | 79 °C[2] |
| Propriétés optiques | |
| Indice de réfraction | 1,562 |
| Précautions | |
| SGH[2] | |
![]() |
|
| Écotoxicologie | |
| DL50 | 2 500 mg·kg-1 (rat, oral)[3] |
| LogP | -0,090[4] |
| Unités du SI et CNTP, sauf indication contraire. | |
L'hydroxyméthylfurfural (HMF), aussi nommé 5-(hydroxyméthyl)furfural, est un composé organique issu de la déshydratation de certains sucres[5]. La molécule d'HMF est constituée d'un cycle de furane porteur d'une fonction aldéhyde et d'une fonction alcool. Pur, il se présente sous la forme d'un solide jaune à bas point de fusion, très soluble dans l'eau. L'HMF a été identifié dans de nombreux produits alimentaires ayant subi des traitements thermiques, tels que le lait, les jus de fruits, les spiritueux, le miel, etc. L'HMF, qui peut être obtenu à partir de la cellulose sans fermentation, est une possible matière première à empreinte carbone neutre dans la fabrication de carburants et de produits chimiques[6].
Historique
L'hydroxyméthylfurfural fut étudié pour la première fois par le chimiste français Louis-Camille Maillard en 1912, dans une étude sur les réactions non-enzymatiques du glucose. Il fait en effet partie des produits de dégradation issus des réactions de Maillard.
Ce n'est qu'en 2007 que le chimiste américain Conrad Zhang de l'Institute for Interfacial Catalysis (Richland, Washington) a présenté dans la revue Science[7] une méthode pour produire l'HMF à partir du glucose, alors qu'il était jusque-là principalement synthétisé à partir de dérivés du pétrole.
Occurrence dans la nourriture
L'hydroxyméthylfurfural est pratiquement absent dans les produits frais et les ingrédients non transformés, mais il est naturellement produit dans des aliments contenant des sucres (pratiquement tous) lors de procédés impliquant une exposition à la chaleur tels que le séchage ou la cuisson. Comme de nombreux composés responsables de goûts et de couleurs dans l'alimentation, il est formé par la réaction de Maillard ainsi que pendant la caramélisation. Dans ces aliments, il est aussi lentement produit durant le stockage ; des conditions acides favorisent sa production[8].
L'HMF peut être présent en faible quantité dans le miel, les jus de fruits et le lait UHT. Dans ces aliments, comme dans le vinaigre, les confitures, les boissons alcoolisées ou les biscuits, l'HMF peut être utilisé comme indicateur d'un traitement thermique excessif. Par exemple, le miel frais présente de très petites quantités d'HMF, inférieures à 15 mg·kg-1, dépendamment du pH, de la température et de l'âge[9], et le codex alimentarius[10] impose que le miel vendu ait un taux d'HMF inférieur à 40 mg·kg-1 pour garantir qu'il n'a pas été chauffé durant son traitement, 80 mg·kg-1 dans le cas des miels d'origine déclarée provenant de pays ou de régions où règnent des températures ambiantes tropicales.
De plus grandes quantités d'HMF sont naturellement présentes dans le café et les fruits séchés. La plupart des cafés torréfiés contiennent entre 300 et 2 900 mg·kg-1 d'HMF[11]. Les prunes séchées peuvent contenir jusqu'à 2 200 mg·kg-1 d'HMF. Certaines bières brunes peuvent contenir 13,3 mg·kg-1[12], le pain et les pâtisseries entre 4,1 et 151 mg·kg-1[13].
L'HMF peut se former dans le sirop de maïs à haute teneur en fructose (SGHF) des taux 20 mg·kg-1 ayant été relevés, et ceux-ci peuvent croître durant le stockage ou si le sirop est chauffé[9]. Ceci est un problème pour les apiculteurs qui peuvent se servir du SGHF comme source en sucre lorsque les sources en nectar sont insuffisantes pour nourrir les abeilles, car l'HMF est toxique pour elles. Ajouter des bases telles que la potasse ou la soude au sirop de maïs pour le neutraliser permet de ralentir la formation d'HMF[9].
La consommation journalière en HMF varie énormément en fonction de la consommation alimentaire de l'individu. Dans un régime occidental, elle a été estimée de 5 à 10 mg par jour, par apport alimentaire[8].
Autrefois, l'HMF était utilisé comme arôme alimentaire, mais cette pratique a été suspendue en Europe.
Métabolisme
Un important métabolite de l'HMF chez l'humain est l'acide 5-hydroxyméthyl-2-furoïque (HMFA), qui est excrété dans l'urine. L'HMF peut également être métabolisé en 5-sulfoxymethylfurfural (SMF), qui est très réactif et peut former des adduits avec l'ADN ou certaines protéines[14]. Les tests in vitro et des études sur des rats suggèrent une potentielle toxicité et cancérogénicité de l'HMF, mais aucune corrélation entre les apports en HMF et la maladie n'a encore été rapportée chez l'humain.
Synthèse
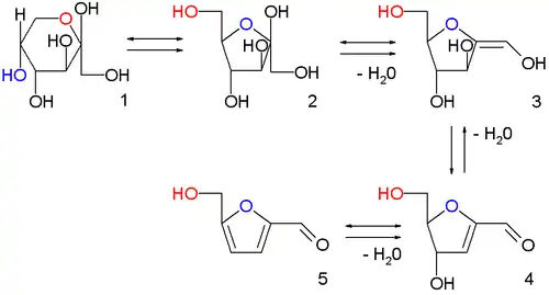
L'hydroxyméthylfurfural est un composé proche du furfural, et comme lui, c'est un produit secondaire de la dégradation des sucres. Il provient en particulier de la déshydratation du fructose[15]. En production, le fructose est traité par des acides, puis on effectue une extraction liquide-liquide avec des solvants organiques, tels que la méthylisobutylcétone. La conversion est encouragée par la présence d'additifs variés, tels que le DMSO, le butan-2-ol et la poly vinyl pyrrolidone qui minimisent la formation de sous-produits. Dans un système optimisé, dans le cas du fructose (mais pas dans le cas de biomasse brute) le taux de conversion est de 77 %, avec la moitié du HMF qui peut être extrait dans la phase organique. Des liquides ioniques peuvent aussi faciliter la conversion du fructose en HMF[16].
L'image ci-dessus présente la série de réactions chimiques permettant la conversion du fructose en HMF:
- 1 → 2 : le fructopyranose est converti en fructofuranose
- 2 → 3 → 4 : le fructofuranose subit une double déshydratation via deux intermédiaires non isolés
- 4 → 5 : le second intermédiaire subit à son tour une déshydratation en HMF
Il est également possible de catalyser la réaction avec le chlorure chromeux, ce qui mène à un taux de conversion de plus de 90 % dans le cas du fructose et de plus de 70 % dans le cas du glucose[7], le chlorure chromeux catalysant aussi la conversion du glucose en fructose.
De la même façon, la cellulose a été directement convertie en HMF (rendement de 55 % avec une pureté de 96 %)[17].
Utilisation
L'hydroxyméthylfurfural peut être converti en 2,5-diméthylfurane (DMF), un agrocarburant qui pourrait avoir « une efficacité énergétique supérieure de 40 % à celle du bioéthanol »[18]. L'oxydation de l'HMF produit l'acide 2,5-furandicarboxylique, un possible remplaçant de l'acide téréphtalique utilisé dans la production de polyesters.
Des recherches ont montré que le 5-hydroxyméthyl-2-furfural (5HMF) réagit spécifiquement avec l'hémoglobine S (HbS), responsable de la drépanocytose. Des études préliminaires in vivo sur des souris transgéniques atteintes ont montré que l'administration orale de 5HMF inhibe la formation de cellules falciformes dans le sang[19].
Notes et références
- ↑ Masse molaire calculée d’après « Atomic weights of the elements 2007 », sur www.chem.qmul.ac.uk.
- 1 2 3 4 5 Fiche Sigma-Aldrich du composé 5-(Hydroxymethyl)furfural, consultée le 13 janvier 2012.
- ↑ National Technical Information Service. Vol. OTS0544683
- ↑ (en) « Hydroxyméthylfurfural », sur ChemIDplus, consulté le 13 janvier 2012
- ↑ Andreia A. Rosatella, Svilen P. Simeonov, Raquel F. M. Frade, Carlos A. M. Afonso "Critical Review 5-Hydroxymethylfurfural (HMF) as a building block platform: Biological Properties, Synthesis and Synthetic Applications" Green Chem., 2011, volume 13, 754. DOI 10.1039/c0gc00401d
- ↑ (en) George W. Huber, Sara Iborra et Avelino Corma, « Synthesis of Transportation Fuels from Biomass: Chemistry, Catalysts, and Engineering », Chem. Rev., vol. 106, no 9, , p. 4044 (DOI 10.1021/cr068360d)MIT Technology Review
- 1 2 (en) Haibo Zhao, Johnathan E. Holladay, Heather Brown, Z. Conrad Zhang, « Metal Chlorides in Ionic Liquid Solvents Convert Sugars to 5-Hydroxymethylfurfural », Science, vol. 316, no 5782, , p. 1597–1600 (PMID 17569858, DOI 10.1126/science.1141199)
- 1 2 (en) G Arribas-Lorenzo et FJ Morales, « Estimation of dietary intake of 5-hydroxymethylfurfural and related substances from coffee to Spanish population », Food and Chemical Toxicology, vol. 48, no 2, , p. 644–9 (PMID 20005914, DOI 10.1016/j.fct.2009.11.046)
- 1 2 3 (en) AI Ruiz-Matute, M Weiss, D Sammataro, J Finely et ML Sanz, « Carbohydrate composition of high-fructose corn syrups (HFCS) used for bee feeding: effect on honey composition », Journal of Agricultural and Food Chemistry, vol. 58, no 12, , p. 7317–22 (PMID 20491475, DOI 10.1021/jf100758x)
- ↑ codex alimentarius
- ↑ (en) M Murkovic et N Pichler, « Analysis of 5-hydroxymethylfurfual in coffee, dried fruits and urine », Molecular Nutrition & Food Research (en), vol. 50, no 9, , p. 842–6 (PMID 16917810, DOI 10.1002/mnfr.200500262)
- ↑ (en) T Husøy, M Haugen, M Murkovic, D Jöbstl, LH Stølen, T Bjellaas, C Rønningborg, H Glatt et J Alexander, « Dietary exposure to 5-hydroxymethylfurfural from Norwegian food and correlations with urine metabolites of short-term exposure », Food and Chemical Toxicology, vol. 46, no 12, , p. 3697–702 (PMID 18929614, DOI 10.1016/j.fct.2008.09.048)
- ↑ (en) A Ramírez-Jiménez, « Hydroxymethylfurfural and methylfurfural content of selected bakery products », Food Research International, vol. 33, no 10, , p. 833 (DOI 10.1016/S0963-9969(00)00102-2)
- ↑ (en) T. Husøy, M. Haugen, M. Murkovic, D. Jöbstl, L.H. Stølen, T. Bjellaas, C. Rønningborg, H. Glatt et J. Alexander, « Dietary exposure to 5-hydroxymethylfurfural from Norwegian food and correlations with urine metabolites of short-term exposure », Food and Chemical Toxicology, vol. 46, no 12, , p. 3697 (PMID 18929614, DOI 10.1016/j.fct.2008.09.048)
- ↑ (en) Yuriy Román-Leshkov, Juben N. Chheda, James A. Dumesic, « Phase Modifiers Promote Efficient Production of Hydroxymethylfurfural from Fructose », Science, vol. 312, no 5782, , p. 1933–1937 (PMID 16809536, DOI 10.1126/science.1126337)
- ↑ Ståhlberg, T.; Fu, W.; Woodley, J. M.; Riisager, A.; Synthesis of 5-(Hydroxymethyl)furfural in Ionic Liquids: Paving the Way to Renewable Chemicals. ChemSusChem. 2011, n/a. DOI: 10.1002/cssc.201000374
- ↑ (en) Yu Su, Heather M. Brown, Xiwen Huang, Xiao-Dong Zhou, James E. Amonette et Z. Conrad Zhang, « Single-step conversion of cellulose to 5-hydroxymethylfurfural (HMF), a versatile platform chemical », Applied Catalysis A: General, vol. 361, , p. 117 (DOI 10.1016/j.apcata.2009.04.002)
- ↑ le DMF plus fort que le bioéthanol, consulté le 30 mars 2009
- ↑ (en) O Abdulmalik, MK Safo, Q Chen, J Yang, C Brugnara, K Ohene-Frempong, DJ Abraham et T Asakura, « 5-hydroxymethyl-2-furfural modifies intracellular sickle haemoglobin and inhibits sickling of red blood cells », British journal of haematology, vol. 128, no 4, , p. 552–61 (PMID 15686467, DOI 10.1111/j.1365-2141.2004.05332.x)
- (en) Cet article est partiellement ou en totalité issu de l’article de Wikipédia en anglais intitulé « Hydroxymethylfurfural » (voir la liste des auteurs).
- Portail de la chimie


