Graphe simple
Un graphe simple est un graphe où il n'existe qu'une seule arête par paire de sommets, par opposition aux multigraphes[1],[2]. Il peut être orienté ou non-orienté.
Graphe simple non orienté

Un graphe simple non orienté est un couple où :
- est un ensemble non vide (les sommets du graphe), et
- est un ensemble de parties de à deux éléments (les arêtes du graphes).
Graphe simple orienté

Un graphe simple orienté est un couple où :
- est un ensemble non vide (les sommets du graphe), et
- est une partie du produit cartésien (les arcs du graphe).
Exemples
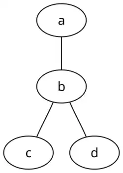
Exemple de graphe simple non orienté
Le schéma ci-contre représente un graphe non-orienté, composé de :
- 4 sommets
- 3 arêtes
Les sommets ont respectivement les degrés 1, 3, 1, 1.
- Le degré de b:
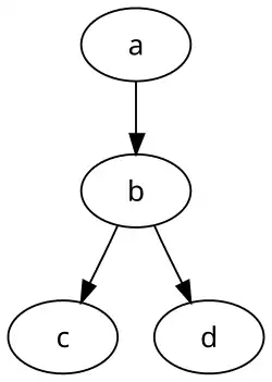
Exemple de graphe simple orienté
Le schéma ci-contre représente un graphe orienté, composé de :
- 4 sommets
- 3 arcs
- Les degrés entrant dans sont respectivement 0,1,1,1
- Les degrés sortant de sont respectivement 1,2,0,0
Ce graphe est un graphe orienté acyclique.
Voir aussi
Notes et références
- ↑ Jean-Claude Fournier, Théorie des graphes et applications : avec exercices et problèmes, Lavoisier, , 332 p. (ISBN 978-2-7462-3215-0, lire en ligne), p. 21
- ↑ Irène Larramendy Valverde et Alain Marie-Jeanne, Introduction à la théorie des graphes : Cours et exercices corrigés, Ellipses, , 240 p. (ISBN 978-2-3400-2844-9, lire en ligne), p. 5
- Portail des mathématiques
- Portail de l'informatique théorique