Cytidine triphosphate
| Cytidine triphosphate | |
| |
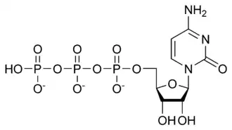
| structure de la cytidine triphosphate. | |
| Identification | |
|---|---|
| No CAS | |
| No ECHA | 100.000.556 |
| No CE | 200-611-4 |
| ChEBI | 17677 |
| SMILES | |
| InChI | |
| Propriétés chimiques | |
| Formule | C9H16N3O14P3 [Isomères] |
| Masse molaire[1] | 483,156 3 ± 0,013 1 g/mol C 22,37 %, H 3,34 %, N 8,7 %, O 46,36 %, P 19,23 %, |
| Unités du SI et CNTP, sauf indication contraire. | |
La cytidine triphosphate (CTP) est un coenzyme de transfert de groupements phosphate qui est associé de façon non covalente (c'est un co-substrat) aux enzymes de la classe des kinases.
Les propriétés de la cytidine triphosphate et de ses dérivés, cytosine diphosphate et cytosine monophosphate, sont identiques à, respectivement, l'adénosine triphosphate (et ses dérivés).
Notes et références
- ↑ Masse molaire calculée d’après « Atomic weights of the elements 2007 », sur www.chem.qmul.ac.uk.
Liens externes
- Ressources relatives à la santé :
- Notices dans des dictionnaires ou encyclopédies généralistes :
- Portail de la biologie cellulaire et moléculaire
- Portail de la biochimie
- Portail de la chimie
