Cyclène
| Cyclène | |
![]() |
|
| Structure du cyclène | |
| Identification | |
|---|---|
| Nom UICPA | 1,4,7,10-tétraazacyclododécane |
| No CAS | |
| No ECHA | 100.118.281 100.102.391, 100.118.281 |
| No CE | 425-450-9 |
| No RTECS | XA5253000 |
| PubChem | 64963 |
| ChEBI | 37391 |
| SMILES | |
| InChI | |
| Apparence | solide |
| Propriétés chimiques | |
| Formule | C8H20N4 [Isomères] |
| Masse molaire[1] | 172,271 2 ± 0,008 6 g/mol C 55,78 %, H 11,7 %, N 32,52 %, |
| Propriétés physiques | |
| T° fusion | 110 à 113 °C[2] |
| Précautions | |
| SGH[3] | |
![]() ![]() ![]() Danger |
|
| Unités du SI et CNTP, sauf indication contraire. | |
Le cyclène, ou 1,4,7,10-tétraazacyclododécane, est un macrocycle analogue aza de l'éther 12-couronne-4. C'est le précurseur du DOTA et de ses dérivés, très employés dans l'industrie pharmaceutique. Les dérivés du cyclène sont des polyamines cycliques de grande taille mais toujours en répétant la même unité éthylèneimine. Tout comme les éthers couronnes, ces composés peuvent se lier sélectivement à des cations. On les utilise comme ligands par exemple avec les produits de contraste utilisés en imagerie par résonance magnétique (IRM).
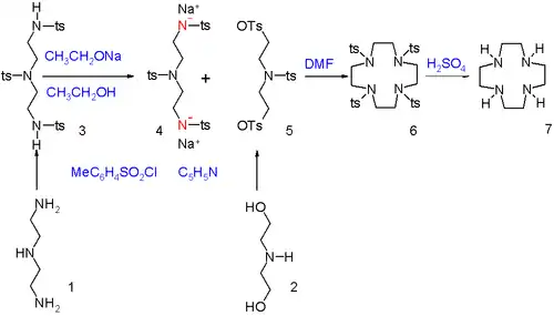
Il peut être obtenu en combinant deux substitutions nucléophiles au chlorure de tosyle sur la diéthylènetriamine (1 ci-dessous) et la diéthanolamine (2) dans la pyridine[4] :

À faible concentration, la vitesse de réaction est faible par cette voie mais il est alors possible de procéder autrement, par conversion de la triéthylènetétramine et de la dithiooxamide en une bisamidine (également une bis(imidazoline)) suivie par une réduction et une extension du cycle au DIBAL[5] :

Notes et références
- ↑ Masse molaire calculée d’après « Atomic weights of the elements 2007 », sur www.chem.qmul.ac.uk.
- ↑ Fiche Sigma-Aldrich du composé Cyclène 97 %, consultée le 6 octobre 2013.
- ↑ Entrée « 1,4,7,10-Tetraazacyclododecane » dans la base de données de produits chimiques GESTIS de la IFA (organisme allemand responsable de la sécurité et de la santé au travail) (allemand, anglais), accès le 6 octobre 2013 (JavaScript nécessaire)
- ↑ (en) T. J. Atkins, J. E. Richman et W. F. Oettle, « MACROCYCLIC POLYAMINES: 1,4,7,10,13,16-HEXAÄZACYCLOÖCTADECANE », Organic Syntheses, vol. 6, , p. 652 (lire en ligne)
- ↑ (en) David P. Reed et Gary R. Weisman, « 1,4,7,10-TETRAAZACYCLODODECANE », Organic Syntheses, vol. 10, , p. 667 (lire en ligne)
- Portail de la chimie



