Condensation benzoïnique
condensation de benjoin
| Condensation benzoïnique | |
| |
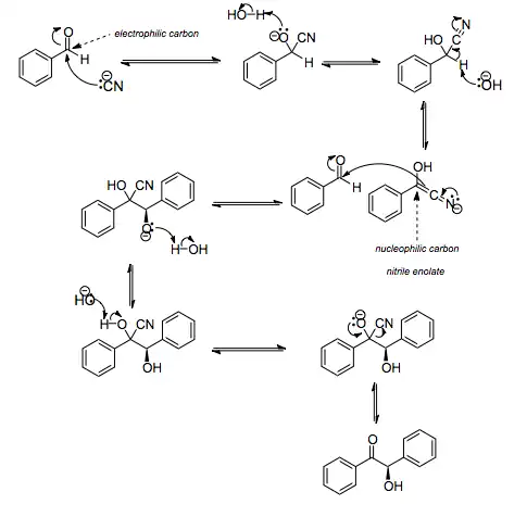
| Figure 1. Ajout de benzoïne | |
| Unités du SI et CNTP, sauf indication contraire. | |
L'addition de benzoïne est une réaction d'addition impliquant deux aldéhydes. La réaction se produit généralement entre des aldéhydes aromatiques ou des glyoxals[1],[2] et produit une acyloïne. Dans l'application classique, le benzaldéhyde est converti en benzoïne[3].
La condensation de benjoin a été découverte pour la première fois en 1832 par Justus von Liebig et Friedrich Wöhler lors de leurs recherches sur l'huile d'amande amère[4]. La catalyse de la réaction grâce au cyanure a été réalisée en premier par Nikolay Zinin à la fin des années 1830[5],[6].
Mécanisme de réaction
La réaction est catalysée par des nucléophiles tels qu'un cyanure ou un carbène N-hétérocyclique (généralement des sels de thiazolium). Le mécanisme de réaction a été proposé en 1903 par Arthur Lapworth[7]. Dans la première étape de cette réaction, l'anion cyanure (sous forme de cyanure de sodium) réagit avec l'aldéhyde dans une addition nucléophile. Le réarrangement de l'intermédiaire entraîne une inversion de polarité du groupe carbonyle, qui s'ajoute ensuite au deuxième groupe carbonyle dans une deuxième addition nucléophile. Le transfert de protons et l'élimination de l'ion cyanure donnent le benjoin comme produit. Il s'agit d'une réaction réversible, ce qui signifie que la distribution des produits est déterminée par la stabilité thermodynamique relative des produits et du matériau de départ.

Dans cette réaction, un aldéhyde donne un proton et un aldéhyde accepte un proton. Certains aldéhydes ne peuvent donner que des protons, comme le 4-diméthylaminobenzaldéhyde, tandis que le benzaldéhyde est à la fois un accepteur et un donneur de protons. De cette manière, il est possible de synthétiser des benzoïnes mixtes, c'est-à-dire des produits avec des groupes différents sur chaque moitié du produit. Cependant, il faut prendre soin de faire correspondre un aldéhyde donneur de protons avec un aldéhyde acceptant les protons pour éviter une homo-dimérisation indésirable.
Application
La réaction peut être étendue aux aldéhydes aliphatiques lors d'une catalyse basique en présence de sels de thiazolium ; le mécanisme de réaction est essentiellement le même.
En biochimie, la coenzyme thiamine est responsable de la biosynthèse des composés de type acyloïne en utilisant l'addition de benzoïne. Cette coenzyme contient également un groupement thiazolium qui, lors de la déprotonation, devient un carbène nucléophile.
La version asymétrique de cette réaction a été réalisée en utilisant des sels chiraux de thiazolium et de triazolium. Les sels de triazolium se sont avérés donner un excès énantiomérique plus grand que les sels de thiazolium[8].

Puisque les produits de la réaction sont contrôlés thermodynamiquement, l'addition rétro-benzoïne peut être utile dans une synthèse. Si une benzoïne ou une acyloïne peuvent être synthétisées par une autre méthode, alors elles peuvent être converties en cétones constituantes, en faisant l'usage des catalyseurs au cyanure ou au thiazolium. Le mécanisme de réaction est en fait le même que ci-dessus, mais il se produit dans le sens inverse. Ce processus rend ainsi la production de certaines cétones plus aisée.
Voir aussi
Notes et références
- ↑ Menon, Biju et Nair, « Recent advances in N-heterocyclic carbene (NHC)-catalysed benzoin reactions », Beilstein Journal of Organic Chemistry, vol. 12, , p. 444–461 (PMID 27340440, PMCID 4901930, DOI 10.3762/bjoc.12.47)
- ↑ Enders, Niemeier et Henseler, « Organocatalysis by N-Heterocyclic Carbenes », Chemical Reviews, vol. 107, no 12, , p. 5606–5655 (PMID 17956132, DOI 10.1021/cr068372z)
- ↑ Roger Adams, C. S. Marvel, « Benzoin », Organic Syntheses, vol. 1, , p. 33 (DOI 10.15227/orgsyn.001.0033)
- ↑ Wöhler, Liebig et Liebig, « Untersuchungen über das Radikal der Benzoesäure », Annalen der Pharmacie, vol. 3, no 3, , p. 249–282 (DOI 10.1002/jlac.18320030302)
- ↑ N. Zinin, « Beiträge zur Kenntniss einiger Verbindungen aus der Benzoylreihe », Annalen der Pharmacie, vol. 31, no 3, , p. 329–332 (DOI 10.1002/jlac.18390310312, lire en ligne)
- ↑ N. Zinin, « Ueber einige Zersetzungsprodukte des Bittermandelöls », Annalen der Pharmacie, vol. 34, no 2, , p. 186–192 (DOI 10.1002/jlac.18400340205, lire en ligne)
- ↑ Lapworth, « CXXII.—Reactions involving the addition of hydrogen cyanide to carbon compounds. Part II. Cyanohydrins regarded as complex acids », Journal of the Chemical Society, Transactions, vol. 85, , p. 1206–1214 (DOI 10.1039/CT9048501206, lire en ligne)
- ↑ Knight et Leeper, « Comparison of chiral thiazolium and triazolium salts as asymmetric catalysts for the benzoin addition. », J. Chem. Soc., Perkin Trans. 1, no 12, , p. 1891–1894 (DOI 10.1039/A803635G)
- ↑ D. Enders, O. Niemeier et T. Balensiefer, « Asymmetric Intramolecular Crossed-Benzoin Reactions by N-Heterocyclic Carbene Catalysis », Angewandte Chemie International Edition, vol. 45, no 9, , p. 1463–1467 (PMID 16389609, DOI 10.1002/anie.200503885)
- Portail de la chimie
