Analyse par les options réelles
L'analyse par les options réelles (AOR) est un outil financier d'aide à la décision en matière d'investissement, directement inspiré des techniques d’options financières (« call » ou « put »). L’option réelle permet de prendre une décision stratégique d'investissement relative à un actif sous-jacent non financier. Ce sous-jacent peut être un projet ou un actif réel du type : bien d'équipement, usine de production, projet R&D, activité en phase de démarrage ou de croissance, ou bien encore propriété intellectuelle.
L'analyse par les options réelles, devenue discipline à part entière, facilite la prise de décision dans des contextes à faible visibilité. Elle permet d'identifier la valeur de flexibilité managériale et de l’incertitude dans laquelle évolue le projet. Cette valeur souvent ignorée par les outils classiques d'évaluation d'investissement, tient compte de toutes les possibilités du projet, y compris celle de ne pas poursuivre.
D’un point de vue opérationnel, l’AOR encourage les décideurs à éclaircir les hypothèses liées à leurs projections. Ainsi, elle devient un excellent outil de communication et de formalisation de la stratégie de l'entreprise pouvant aller jusqu’à l’adoption d’un mode de pensée par les options réelles.
Définition du concept
Le concept
L’option réelle, par analogie avec l'option financière, confère le droit, et non l'obligation, de prendre une décision stratégique d'investissement relative à un actif sous-jacent non financier. La démarche de l'analyse par les options réelles consiste donc à déceler les opportunités liées à un projet et de tirer profit d'une éventuelle hausse du marché tout en limitant les risques baissiers.
Les limites des techniques d’évaluation traditionnelles
Les techniques d'évaluation traditionnelles (typiquement la Valeur Actuelle Nette ou le Taux de Rentabilité Interne) utilisées par une vaste majorité de praticiens, sont basées sur des valeurs d'entrée statiques, souvent subjectives, et du projet tout au long de sa vie :
- Elles supposent une gestion passive du projet au-delà de la date de décision
- Elles ignorent la flexibilité managériale, cette flexibilité disparaît lorsque la décision se concentre en une seule date
- Elles requièrent des hypothèses de taux d’actualisation discutables, ces taux sont souvent ajustés de manière subjective par rapport aux risques auxquels l’entreprise est exposée
- Elles reposent le plus souvent sur des hypothèses de constance des taux d’actualisation et du risque, ce qui est peu réaliste.
L'image de l'investissement qui en découle possède le double inconvénient d'être linéaire (elle n'envisage pas les trajectoires intermédiaires ) et centré sur des valeurs moyennes, ce qui restreint le champ de vision du décideur..
La contribution de l’analyse par les options réelles
La technique d'évaluation de projets d'investissement par les Options Réelles évalue l'opportunité d'investir dans un actif « réel », c'est-à-dire de vendre ou acheter des produits ou services (projets) dans le futur. Ces projets peuvent résulter d'une innovation et/ou d'un processus de développement réussis. Le raisonnement de l'analyse par les options réelles se différencie des analyses traditionnelles en différents points:
- Elle suppose une gestion active du projet : elle permet de raisonner sur tous les flux futurs du projet (considérés comme continus)
- Elle intègre la flexibilité managériale : elle permet de prévoir des réponses aux modifications de trajectoire prises par le projet
- Elle ne repose pas sur des hypothèses de taux d’actualisation
- Le risque est modélisé et peut être réduit par l’abandon du projet en cas de trajectoire défavorable.
En dépit des apparences, cet outil va donc plus loin que la simple évaluation financière d'un investissement. Il procure une image plus étendue du projet en capturant la capacité des managers à modifier ou optimiser les activités et opérations au fur et à mesure que l'information devient disponible ou que les incertitudes sont levées.
Évaluation des Options Réelles
Les 6 variables qui déterminent la valeur des options
Techniquement, les paramètres d’évaluation sont similaires aux paramètres d’évaluation des options financières. La différence fondamentale réside dans le fait que l'actif sous-jacent de l'Option Réelle n'est autre que le projet d'investissement lui-même. On le modélise de la façon suivante:
- La valeur actuelle de l'actif est représentée par la valeur actuelle des flux de trésorerie les plus probables du projet.
- Le prix d'exercice correspond au(x) montant(s) à investir pour exercer l'option dans le cas d’un achat d’actif (équivalent d'un call) ou le montant reçu dans le cas de vente de l'actif (équivalent d'un put).
- La volatilité représente le niveau d'incertitude du projet, mesurée par la dispersion de la valeur du sous-jacent, au fil du temps. Deux approches différentes sont utilisées pour estimer la volatilité:
- Une approche orientée marché se fonde sur la volatilité de l'action de la société détentrice du projet ou la volatilité implicite de l’option sur le titre, si elle existe. Cette approche exige une cotation de l’entreprise (ou l’existence de produits dérivés). Dans le cas contraire, la contrainte peut être contournée en faisant référence aux titres financiers de sociétés cotées similaires à l’objet de l’étude
- Une approche centrée sur le projet consiste à estimer sa volatilité propre : la simulation de la distribution des valeurs du projet (à échéance ou à un terme intermédiaire, selon les auteurs) s’effectue par la Méthode de Monte-Carlo, l'écart type obtenu est retenu comme estimateur de la volatilité.
- La date d'expiration marque la fin de la durée de vie de l’option, il s'agit de la date butoir à laquelle le management ne possède plus la possibilité de choisir entre action ou absence d’action.
- Le taux sans risque: valable pour toute la durée de vie de l'option, il s'agit du taux d'un actif sans risque dont l'émetteur est caractérisé par un niveau de solvabilité supérieur, il peut s'agir d'une Obligation assimilable du Trésor par exemple.
- Les dividendes optionnels qui pourraient être générés par l'actif sous-jacent. Dans le cadre d'un projet, le dividende s'assimile à tout revenu qui pourrait être issu de l'actif réel et payé au propriétaire. Ils réduisent l'appréciation de l'actif.
En conséquence, une Option Réelle (Cas d'une option d'achat) a le plus de valeur quand:
- La valeur de l'actif sous-jacent est importante, volatile et non soumise à des dividendes,
- Le prix d'exercice est bas,
- Les taux d'intérêt sont élevés,
- La durée d'expiration est longue.
Les modèles de calcul
Ce modèle est une adaptation par Cox, Ross et Rubinstein[1] du modèle de Black et Scholes, en temps continu. Il suppose qu’à chaque période, le sous-jacent ne peut prendre que deux valeurs :
- une valeur à la hausse (Up ou u) avec une probabilité (p)
- une valeur à la baisse (Down ou d), avec une probabilité (1-p)
Il suit donc une loi binomiale. La représentation du sous-jacent s’apparente à un treillage et reste possible lorsque le nombre de périodes est faible :

Afin de réaliser le treillage, il nous faut connaître p, u et d.
- p, la probabilité de hausse se calcule ainsi, approximé par p = [(1+rf)-d]/(u-d)
- u, le saut à la hausse dépend de la volatilité σ du sous-jacent
- d, le saut à la baisse, également
- t/n = intervalle en fraction d'année
- e = base du logarithme naturel = 2,718
Cette version du calcul d’option possède des avantages :
- elle repose sur des notions basiques de mathématiques
- elle n’exige pas de calcul de taux d'actualisation mais nécessite la connaissance de la loi de distribution des rentabilités du sous-jacent
- l’approche temporelle discrète est plus cohérente avec la réalité du monde managérial, elle peut être préférée dans le cas où le sous-jacent serait un projet.
Merton[2], Black et Scholes[3] (1973) ont développé un modèle d’évaluation d’option financières à partir des travaux antécédents de Samuelson et Bachelier. Leur contribution tient dans la formalisation de la relation entre le prix du sous-jacent et le prix de l’option (ou prime), ils obtiendront le prix Nobel en 1997 pour ces travaux[4]. Le modèle est fondé sur diverses hypothèses :
- Le sous-jacent suit un mouvement brownien géométrique (processus stochastique) avec une volatilité, constante;
- Il y a absence d’opportunités d’arbitrage ;
- Le temps est continu ;
- Les ventes à découvert sont autorisées ;
- Il n’y a pas de coût de transaction (marchés sans friction) ;
- Le taux sans risque existe et est constant ;
- Le sous-jacent est divisible ;
- Les options sont européennes ;
- Le sous-jacent ne procure pas de dividende ;
- Les investisseurs n’ont pas de préférence vis-à-vis du risque.
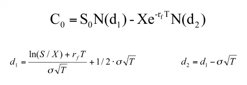
Le modèle d’évaluation du call évalue la différence entre le prix du support et le prix d’exercice actualisé en temps continu:

Avec:
- S0 = prix actuel de l’action
- N(d1) = probabilité cumulée de la variable normale d1
- N(d2) = probabilité cumulée de la variable normale d2
- X = prix d’exercice
- T = nombre de périodes avant échéance
- rf = taux sans risque
- e = base du logarithme naturel, constant = 2.71828
- σ = écart-type par période du taux de rentabilité sur action
Typologie des Options Réelles
Les Options Réelles sont généralement classées en 6 catégories :
- une Option de croissance existe lorsque l'on peut augmenter la capacité du projet. ex. : investissements industriels, infrastructures, produits évolutifs, croissance externe ;
- une Option d’abandon existe lorsque l'on peut se séparer de certains projets non rentables, à condition qu'ils possèdent un prix de revente. ex. : investissements cessibles pour d’autres usages ;
- une Option de report existe lorsque le projet peut être réalisé dans des conditions identiques à une période ultérieure, le laps de temps gagné permet de collecter de l'information utile à la décision. ex. : investissements en extraction de ressources naturelles, construction immobilière ;
- une Option de changement d’échelle existe lorsque le projet propose une structure flexible qui permet d’adapter les outputs à la demande. ex. : produits de mode, produits à cycles courts ou variables, services ;
- une Option d’échange existe lorsque le projet permet une flexibilité des processus ou des moyens de production. Le transfert doit pouvoir s’effectuer sous forme d’aller-retour. ex. : installation permettant l’utilisation de deux sources d’énergie ;
- des Options composées existent lorsque le projet est décomposé en plusieurs étapes ponctuées de jalons de décision (go/no-go), et dont l’issue dépend de la réussite des étapes précédentes. Ces options sont surtout utilisées en R&D pour les choix d’investissements dans de nouveaux prototypes ou de nouvelles technologies, et aussi dans l’industrie pharmaceutique pour les phases de tests de médicaments.
Champs d'application
Industries
Les industries pétrolières, et les exploitations minières et industries de service électrique furent les premières à utiliser la méthodologie des Options Réelles, en raison de l'importance des capitaux investis, de la durée des investissements et du haut niveau d'incertitude. Depuis, les industries pharmaceutiques, de production, de haute technologie et de communication ont adopté cette technique pour les mêmes raisons, car désormais toutes les entreprises évoluent dans un contexte économique incertain, doublé d'une exigence croissante du niveau de maîtrise des risques. L'analyse par les options réelles, en formalisant l'incertitude, donnent une vision plus claire de la situation du marché ou des aléas technologiques. Elle procure au décideur une représentation de toutes les possibilités offertes par le projet, ce qui l'aide à tirer parti de la flexibilité managériale dont il dispose.
Entreprises
Exemples de sociétés qui utilisent l'approche par les OR :
Projets d’investissement type
Les applications les plus courantes sont:
- Exploration et production des mines de gaz, pétrole et minerais
- Évaluation des brevets[5]
- Investissements par phase dans une usine
- Prévision et planning des investissements futurs, et développement de portefeuilles parallèles
- Stratégie dans les sociétés High-tech
- Recherche & Développement (surtout en pharmacologie)
- Justification d'investissement en infrastructure informatique
- Fusions – Acquisitions
- Coentreprises (ex : Astra + Merck, Autolatina = Ford + VW, Borealis = Statoil + Neste, SITA for Equant airplane company)
- Évaluation de start-ups Internet ou de sociétés de commerce en ligne.
Des exemples concrets de projets dans lesquels des options réelles peuvent être identifiées sont cités par Trigeorgis (1996):
- Les droits de propriété d'une mine sont une option d'extraire des minéraux
- Un brevet donne l'option de développer un nouveau produit
- Une usine de production contient l'option d'expansion : en faisant un investissement additionnel, on peut augmenter les revenus ou obtenir une meilleure rentabilité
- L’investissement dans une usine avec des coûts de construction initiaux réduits et des coûts d'exploitation plus élevés, crée la flexibilité de réduire les coûts d'exploitation si le produit s'avère être moins intéressant que prévu initialement
- L'acquisition d'une entreprise sans relation avec l'activité principale de l'entreprise mère permet l'accès optionnel à un nouveau marché
- Le passif d'une entreprise peut être considéré comme une call ou put option sur la valeur de l'entreprise.
Historique
Dès 1977, dans son article[6] qui marque la naissance d'un nouveau corpus centré sur l'analyse de l'investissement dans l'incertain, Stewart Myers envisage de créer un lien entre l'évaluation des options financières et des projets d'investissements. Selon Myers, un transfert des modèles d’évaluation d'options aux problématiques de choix d’investissement devrait permettre d'estimer la valeur d'un projet risqué. En 1987, il cite explicitement « Un investissement qui ne génère pas de gains immédiats mais qui défriche un champ d'opportunités de croissances futures n'entre pas dans le cadre de calcul de la VAN ». La puissance de la VAN est ainsi remise en cause.
La réconciliation de la stratégie et de la finance
Le constat de Myers est simple :
- il existe un fossé entre la théorie financière et la stratégie ;
- la difficulté de rapprochement de ces deux « disciplines » s'explique par les différences de terminologie et de culture ;
- les analyses stratégiques utilisent mal ou peu les méthodes d'actualisation des flux ;
- lorsque les méthodes d'actualisation sont appliquées avec rigueur, elles échouent.
Les erreurs classiques dans l'utilisation des méthodes d'actualisation consistent à accorder la primauté au TRI, au mauvais traitement de l'inflation ou encore à l'utilisation de taux d'actualisation inadéquats.
Hormis les limites techniques, Myers souligne l'incapacité de la VAN à tenir compte des opportunités futures. En effet, la réalisation d'un projet A peut générer l'opportunité d'investir dans un projet B très rentable. Cependant, puisque la décision d'investir dans B ne se fait pas au même moment que la décision d'investir dans A, son analyse est remise à plus tard et une occasion est perdue. Cette limite est intégralement imputable à une pratique rigoureuse des méthodes d'évaluation par les flux actualisés.
Par ailleurs, la suprématie de la décision financière dérange. Les décideurs sont souvent perçus comme plus sensibles à l'analyse financière et pas assez aux autres aspects de la vie de l'entreprise (technologie, produits, productivité, etc.). Prétendument plus intéressés par les opérations de fusions & acquisitions, de scission, ou d'ingénierie financière qu'à l'activité opérationnelle, ils sont soupçonnés de s'intéresser plus à des signaux court-termistes comme le bénéfice par action qu'à une vision à long terme. Les Options Réelles répondent à ces travers en offrant une vision long terme à partir d’un historique long terme.
Dans les années 1990, Pindyck identifie et définit le concept d'irréversibilité qu'il considère comme un coût dans la mesure où il prive l'investisseur de la réalisation d'autres options. Ce concept est largement détaillé dans l'ouvrage coécrit avec Dixit « Investment under Uncertainty ». Quelques années plus tard, Trigeorgis finalise la réconciliation dans son ouvrage de 1996 « Managerial flexibility and Strategy in Resource allocation ». Depuis de nombreux travaux, y compris en langue française, continuent de développer le lien entre stratégie et finance[7],[8],[9],[10],[11].
Conclusion
Un nouveau paradigme
L'analyse par les options réelles modifie les bases de l'évaluation des investissements des entreprises en créant un nouveau paradigme et en conservant les hypothèses des méthodes traditionnelles de rationalité des agents et d’efficience des marchés.
De nombreux investissements peuvent être effectués par étapes, en conservant une souplesse d’adaptation aux conditions futures. Cette flexibilité est porteuse de valeur car elle augmente les chances de succès et limite les risques de pertes des projets d'investissement.
L'analyse par les options réelles repose sur deux principes fondamentaux oubliés dans les techniques traditionnelles d'évaluation des investissements :
- Le temps est générateur de valeur car il fournit aux décideurs l'occasion de prendre des nouvelles décisions ou de les différer, L’analyse par les options réelles capture cette valeur du temps ;
- La flexibilité est la capacité à répondre ou réagir à de nouvelles informations en changeant l'organisation d'un projet, source de valeur supplémentaire.
Ainsi, l'analyse par les options réelles par le nouveau raisonnement qu'elle apporte, peut durablement modifier le processus de pensée à l’intérieur des organisations.
Voir aussi
Articles connexes
Notes et références
- ↑ (en)John C. Cox, Stephen A. Ross et Mark Rubinstein, « Option Pricing : A Simplified Approach », Journal of Financial Economics, vol. 7, , p. 229-263 (« in-the-money.com »(Archive.org • Wikiwix • Archive.is • Google • Que faire ?), consulté le )
- ↑ (en) Robert C. Merton, « Theory of Rational Option Pricing », Bell Journal of Economics and Management Science, The RAND Corporation, vol. 4, no 1, , p. 141–183 (DOI 10.2307/3003143, lire en ligne) Thery of Rational Option Pricing
- ↑ (en) Fischer Black et Myron Scholes, « The Pricing of Options and Corporate Liabilities », Journal of Political Economy, vol. 81, no 3, , p. 637–654 (DOI 10.1086/260062) The Prcing of Options and Corporate Liabilities (Black and Scholes' original paper.)
- ↑ (en) The Sveriges Riksbank Prize in Economic Sciences in Memory of Alfred Nobel 1997 Robert C. Merton, Myron S. Scholes The Sveriges Riksbank Prize in Economic Sciences in Memory of Alfred Nobel 1997
- ↑ V. Blum et V. Joly-Stroebel, « La valeur du brevet : quelle option ? Analyse de la pertinence des méthodes d’évaluation de brevets », Économies et Sociétés, vol. W, 14, no 1, , p. 125-166
- ↑ (en) Stewart Myers, « Determinants of Corporate Borrowing », Journal of Financial Economics, , p. 147-176
- ↑ Rodolphe Durand, « Le management stratégique face à la théorie des options », Revue française de gestion, no 160, , p. 159-176 (DOI 10.3166/rfg.160.159-176, lire en ligne)
- ↑ Olivier Levyne, Jean-Michel Sahut, Intégrer risque et flexibilité dans les choix d'investissement. Dunod, 2009
- ↑ V. Blum (2010) "Logique financière court terme versus logique financière long terme : le retour au vrai capitalisme " in" L’entreprise agile ", Jerôme Barrand, Dunod
- ↑ Thierry Burger-Helmchen, La Firme Créatrice d'Options, éditions universitaires européennes, 2010, (ISBN 978-6131547881).
- ↑ V. Blum (2012) "Options réelles, état des lieux sur l’applicabilité d’une méthode d’évaluation capturant le risque", Gestion 2000, p.19-34
Bibliographie
- (en) Thomas E. Copeland et Vladimir Antikarov, Real Options : A Practitioner's Guide, New York, Texere, , 372 p. (ISBN 978-1-58799-028-1, LCCN 2003266632)
- (en) A. Dixit et R. Pindyck, Investment Under Uncertainty, Princeton, Princeton University Press, , 468 p. (ISBN 978-0-691-03410-2, LCCN 93026321, lire en ligne)
- (en) Lenos Trigeorgis, Real Options : Managerial Flexibility and Strategy in Resource Allocation, Cambridge, The MIT Press, , 3e éd., 427 p., relié (ISBN 978-0-262-20102-5, LCCN 95017410, lire en ligne)
- (en) Martha Amram et Nalin Kulatilaka, Real Options : Managing Strategic Investment in an Uncertain World, Boston, Harvard Business School Press, , 246 p. (ISBN 978-0-87584-845-7, LCCN 98022392)
Liens externes
- Real Options Tutorial, Prof. Marco Dias, Pontificia Universidade Católica do Rio de Janeiro
- The Promise and Peril of Real Options, Prof. Aswath Damodaran, Stern School of Business
- Options-reelles.com : théorie et pratique des Options Réelles
- Le choix des investissements et les options réelles: une revue de la littérature, Prof. Mondher Bellalah, Université Paris-Dauphine
- Les options réelles : une idée séduisante, un concept utile et multiforme, un instrument facile à créer mais difficile à valoriser, Delphine Lautier, Université Paris-Dauphine
- Conférence annuelle sur les Options Réelles
- Portail de la finance