Alpha-Tropolone
| α-Tropolone | |
| |
| Identification | |
|---|---|
| Nom UICPA | 2-hydroxy-2,4,6-cycloheptatrién-1-one |
| Synonymes |
2-hydroxytropone |
| No CAS | |
| No ECHA | 100.007.799 |
| No CE | 208-577-2 |
| No RTECS | GU4075000 |
| PubChem | 10789 |
| SMILES | |
| InChI | |
| Apparence | poudre cristalline blanche[1] |
| Propriétés chimiques | |
| Formule | C7H6O2 [Isomères] |
| Masse molaire[2] | 122,121 3 ± 0,006 6 g/mol C 68,85 %, H 4,95 %, O 26,2 %, |
| Propriétés physiques | |
| T° fusion | 51-54 °C[1] |
| T° ébullition | 80 à 84 °C (0,1 mmHg)[3] |
| Solubilité | soluble dans l'eau[1] |
| Point d’éclair | 112 °C)[3] |
| Précautions | |
| NFPA 704[1] | |
| Écotoxicologie | |
| DL50 | 106 mg·kg-1 (souris, i.v.)[4] 233 mg·kg-1 (souris, s.c.)[5] 212 mg·kg-1 (souris, i.p.)[6] |
| Unités du SI et CNTP, sauf indication contraire. | |
L'α-tropolone est un dérivé de la tropone, porteur d'un groupe hydroxyle en position 2. C'est la plus stable des tropolones et est donc appelée par abus de langage simplement « tropolone ».
Synthèse
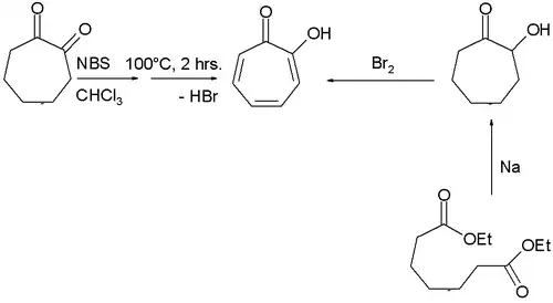
Il existe au moins deux méthodes pour synthétiser la tropolone, la première par bromation de la cycloheptane-1,2-dione en présence de N-bromosuccinimide suivie d'une déshydrohalogénation à haute température, la seconde par condensation acyloïne de l'ester d'éthyle de l'acide pimélique, l'acyloïne ainsi formé étant ensuite oxydé par la dibrome:
Propriétés
La tropolone est un inhibiteur de la polyphénol oxydase du raisin[7].
Notes et références
- 1 2 3 4 Fiche Alfa Aesar, consultée le 18 mars 2011
- ↑ Masse molaire calculée d’après « Atomic weights of the elements 2007 », sur www.chem.qmul.ac.uk.
- 1 2 Fiche Sigma aldrich
- ↑ Yakugaku Zasshi. Journal of Pharmacy. Vol. 92, Pg. 19, 1972. PMID
- ↑ Yakugaku Zasshi. Journal of Pharmacy. Vol. 91, Pg. 550, 1971 PMID
- ↑ Toxicology. Vol. 14, Pg. 217, 1979 PMID
- ↑ Time-dependent inhibition of grape polyphenol oxidase by tropolone. Edelmira Valero, Manuela Garcia-Moreno, Ramon Varon and Francisco Garcia-Carmona, J. Agric. Food Chem., 1991, 39 (6), pp 1043–1046, DOI 10.1021/jf00006a007
- Portail de la chimie


