2-Méthylhexane

2-Méthylhexane
Image illustrative de l’article 2-Méthylhexane
Image illustrative de l’article 2-Méthylhexane
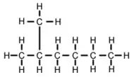
Formule développée et représentation 3D du 2-méthylhexane
Identification
Nom UICPA 2-méthylhexane
Synonymes

isoheptane

No CAS 591-76-4
No ECHA 100.045.994 100.008.847, 100.045.994
No CE 209-730-6
PubChem 11582
SMILES
InChI
Apparence liquide incolore, d'odeur caractéristique[1]
Propriétés chimiques
Formule C7H16  [Isomères]
Masse molaire[2] 100,201 9 ± 0,006 7 g/mol
C 83,91 %, H 16,09 %,
Propriétés physiques
fusion −118,3 °C[3]
ébullition 90 °C[3]
Solubilité dans l'eau : nulle[1]
d'auto-inflammation 280 °C[3]
Point d’éclair −10 °C[3]
Limites d’explosivité dans l’air 16 %vol
42250 g·m-3[3]
Pression de vapeur saturante à 14,9 °C : 5,3 kPa[1]
Point critique 2 750 kPa[4], 257,25 °C[5]
Thermochimie
S0gaz, 1 bar 419,99 J·mol-1·K-1[6].
S0liquide, 1 bar 323,34 J·mol-1·K-1[6]
ΔfH0gaz −195 kJ·mol-1[6]
ΔfH0liquide −229,8 kJ·mol-1[6]
Δfus −9,184 kJ·mol-1 à −118,25 °C[6]
Δvap 34,98 kJ·mol-1[6]
Cp 164,5 J·mol-1·K-1 (25 °C, gaz)
222,92 J·mol-1·K-1 (25 °C, liquide)[6]
PCI −4 811,5 kJ·mol-1[6]
Précautions
SGH[8]
SGH02 : InflammableSGH07 : Toxique, irritant, sensibilisant, narcotiqueSGH08 : Sensibilisant, mutagène, cancérogène, reprotoxiqueSGH09 : Danger pour le milieu aquatique
Danger
H225, H304, H315, H336 et H410
SIMDUT[9]
B2 : Liquide inflammable
B2,
NFPA 704

Symbole NFPA 704.

 
Transport

Unités du SI et CNTP, sauf indication contraire.

Le 2-Méthylhexane, ou isoheptane, est un hydrocarbure saturé de la famille des alcanes de formule C7H16. Il est un des neuf isomères de l'heptane.

Notes et références

  1. 1 2 3 ISOHEPTANE, Fiches internationales de sécurité chimique
  2. Masse molaire calculée d’après « Atomic weights of the elements 2007 », sur www.chem.qmul.ac.uk.
  3. 1 2 3 4 5 Entrée « 2-Methylhexane » dans la base de données de produits chimiques GESTIS de la IFA (organisme allemand responsable de la sécurité et de la santé au travail) (allemand, anglais), accès le 16 avril 2009 (JavaScript nécessaire)
  4. (en) Iwona Owczarek et Krystyna Blazej, « Recommended Critical Pressures. Part I. Aliphatic Hydrocarbons », J. Phys. Chem. Ref. Data, vol. 35, no 4, , p. 1461 (DOI 10.1063/1.2201061)
  5. (en) Iwona Owczarek et Krystyna Blazej, « Recommended Critical Temperatures. Part I. Aliphatic Hydrocarbons », J. Phys. Chem. Ref. Data, vol. 32, no 4, , p. 1411 (DOI 10.1063/1.1556431)
  6. 1 2 3 4 5 6 7 8 « Hexane, 2-methyl- », sur nist.gov (consulté le ).
  7. (en) Carl L. Yaws, Handbook of Thermodynamic Diagrams : Organic Compounds C8 to C28, vol. 2, Huston, Texas, Gulf Pub. Co., , 396 p. (ISBN 0-88415-858-6)
  8. Numéro index 601-008-00-2 dans le tableau 3.1 de l'annexe VI du règlement CE N° 1272/2008 (16 décembre 2008)
  9. « Méthyl-2 hexane » dans la base de données de produits chimiques Reptox de la CSST (organisme québécois responsable de la sécurité et de la santé au travail), consulté le 25 avril 2009
  • icône décorative Portail de la chimie